KoreanFoodie's Study
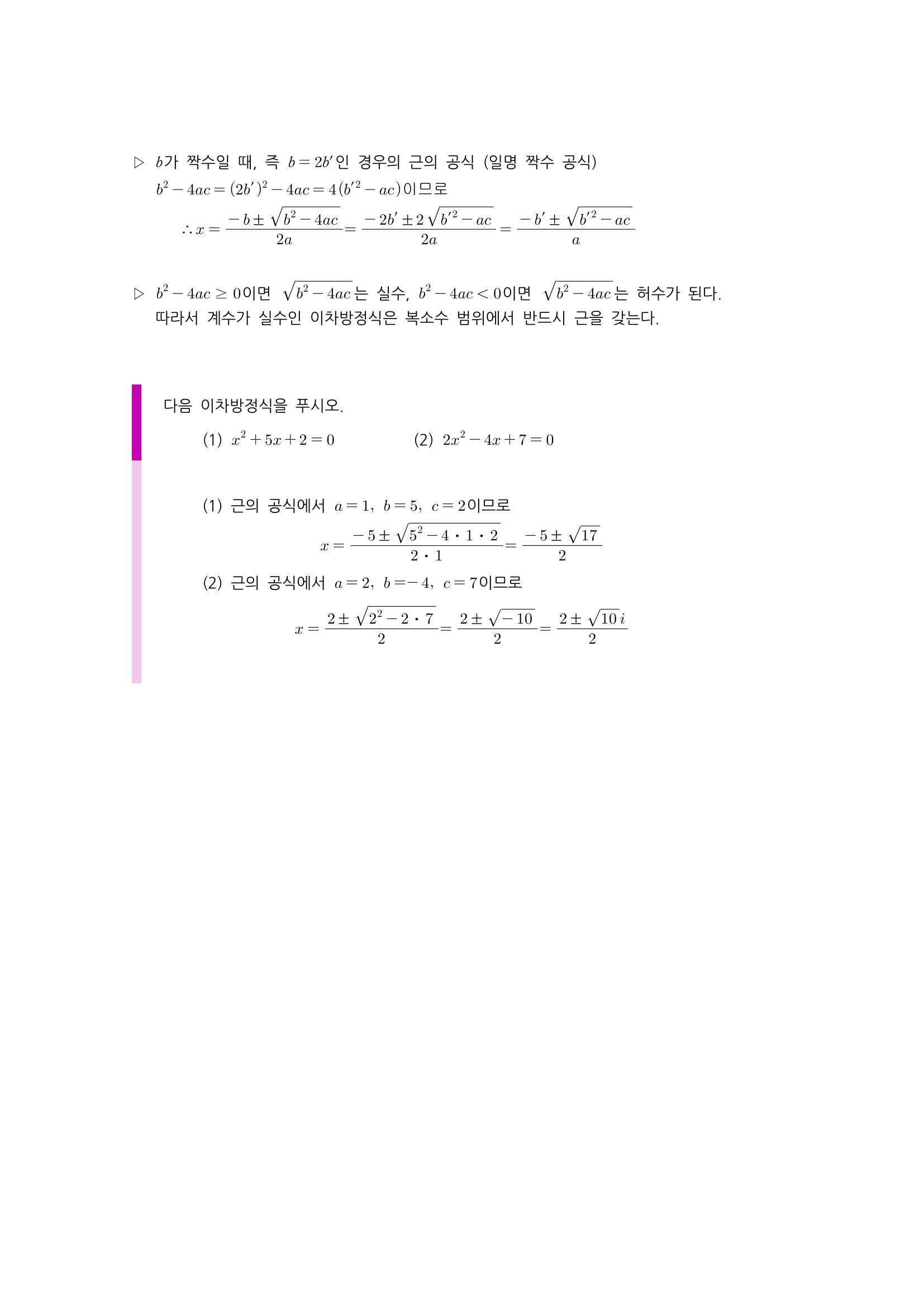
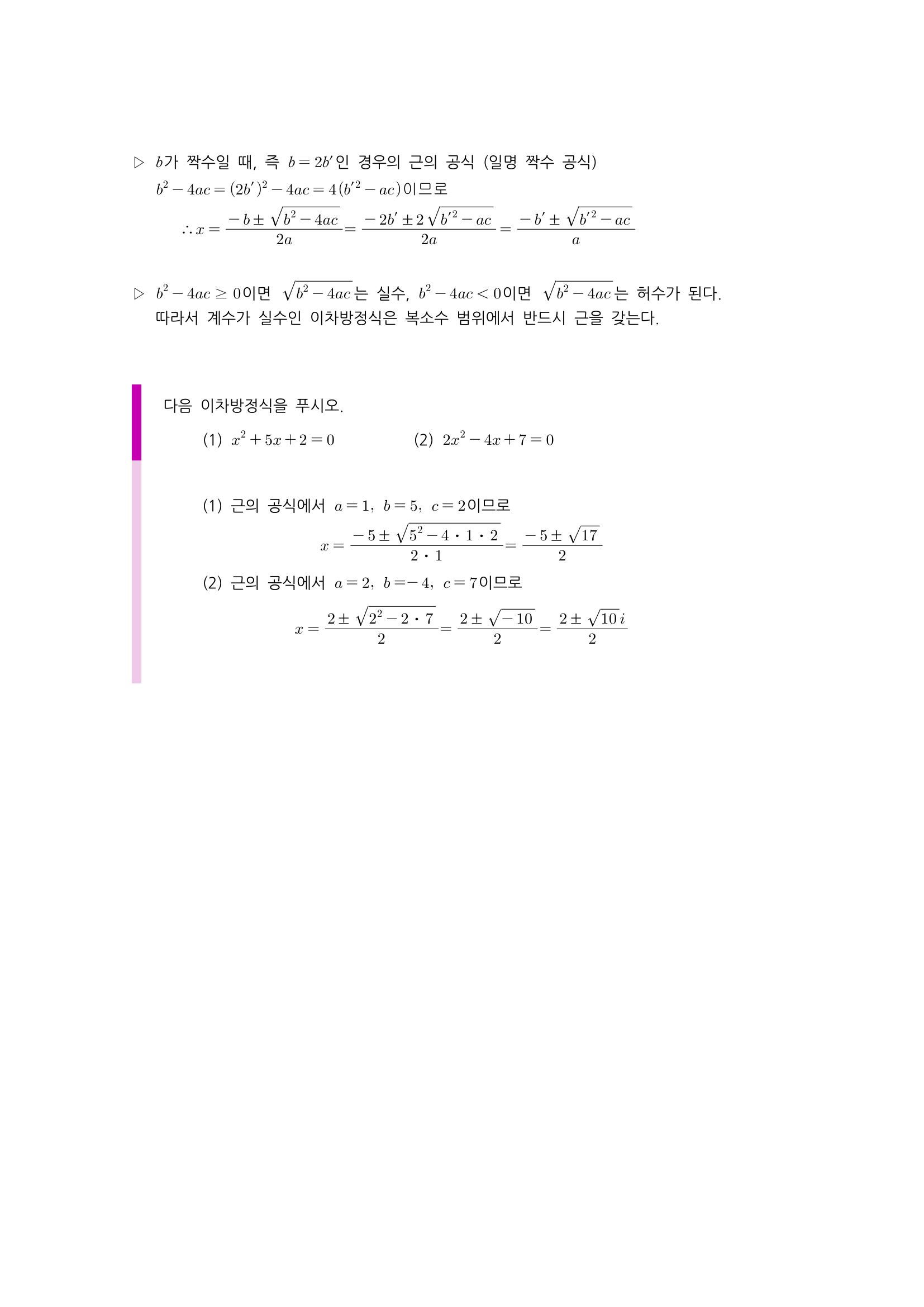
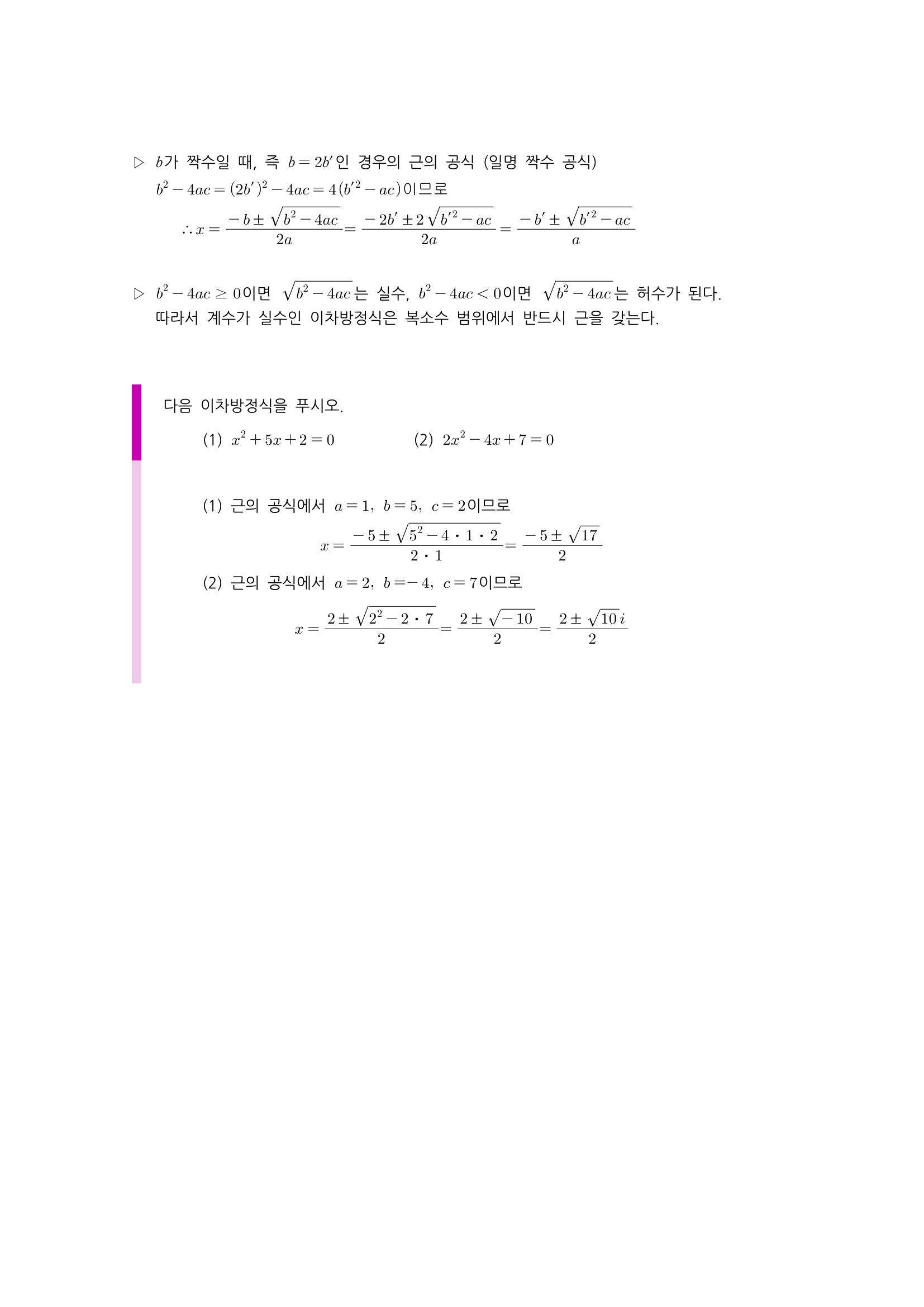
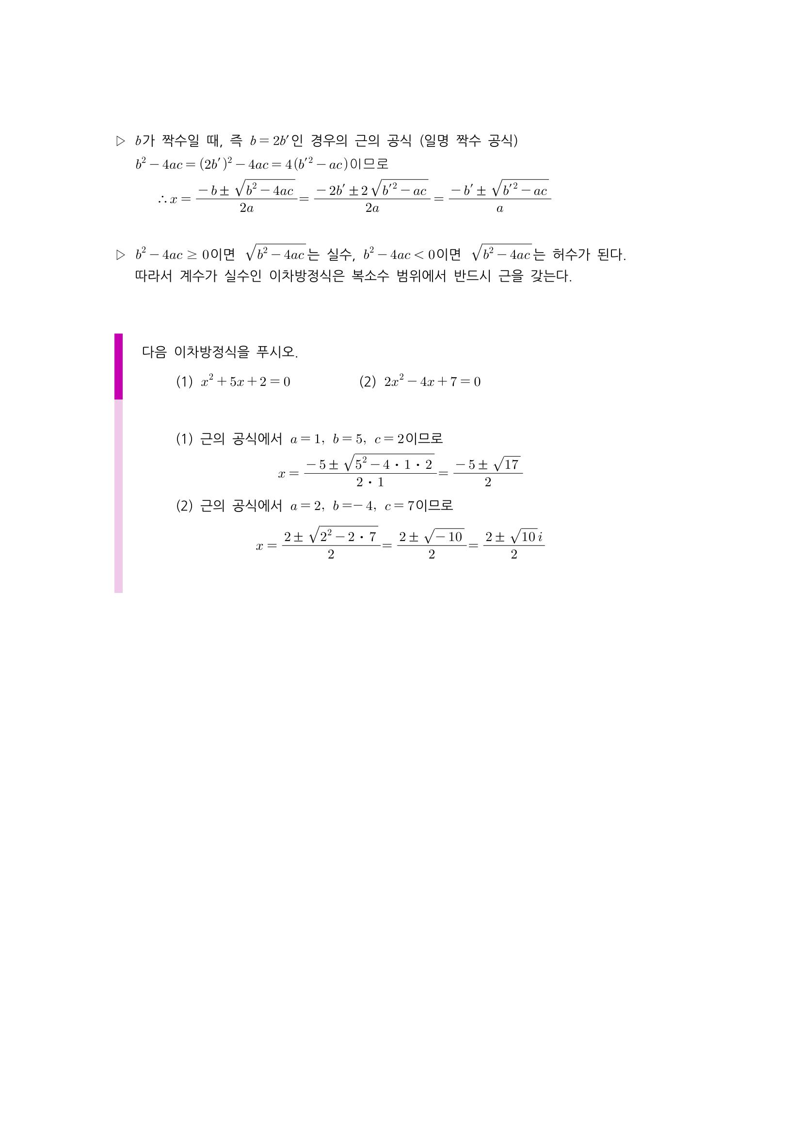
수학 개념 정리/공식 : 이차방정식, 판별식, 이차방적식의 근과 계수와의 관계, 이차방정식의 인수분해, 이차방정식의 켤레근, 이차방정식의 실근의 부호 본문
Study Materials/고등 수학 개념 정리
수학 개념 정리/공식 : 이차방정식, 판별식, 이차방적식의 근과 계수와의 관계, 이차방정식의 인수분해, 이차방정식의 켤레근, 이차방정식의 실근의 부호
GoldGiver 2020. 4. 23. 00:28









'Study Materials > 고등 수학 개념 정리' 카테고리의 다른 글
| 수학 개념 정리/공식 : 고차방정식, 연립이차방정식, 삼차방정식과 사차방정식의 풀이, 연립이차방정식의 풀이 (0) | 2020.04.23 |
|---|---|
| 수학 개념 정리/공식 : 이차함수의 그래프와 이차방정식의 해, 이차함수의 최대와 최소, 이차방정식과 이차함수 (0) | 2020.04.23 |
| 수학 개념 정리/공식 : 복소수 i, 허수 i, 음수의 제곱근, 켤레 복소수, 복소수의 곱셈, 복소수의 성질 (0) | 2020.04.23 |
| 수학 개념 정리/공식 : 항등식, 나머지 정리, 미정계수법(계수비교법, 수치대입법), 인수정리, 인수분해 공식 (0) | 2020.04.23 |
| 수학 개념 정리/공식 : 다항식의 정리, 다항식의 덧셈과 뺄셈, 지수법칙, 다항식의 곱셈, 곱셈 공식, 조립제법 (0) | 2020.04.23 |
Comments