KoreanFoodie's Study
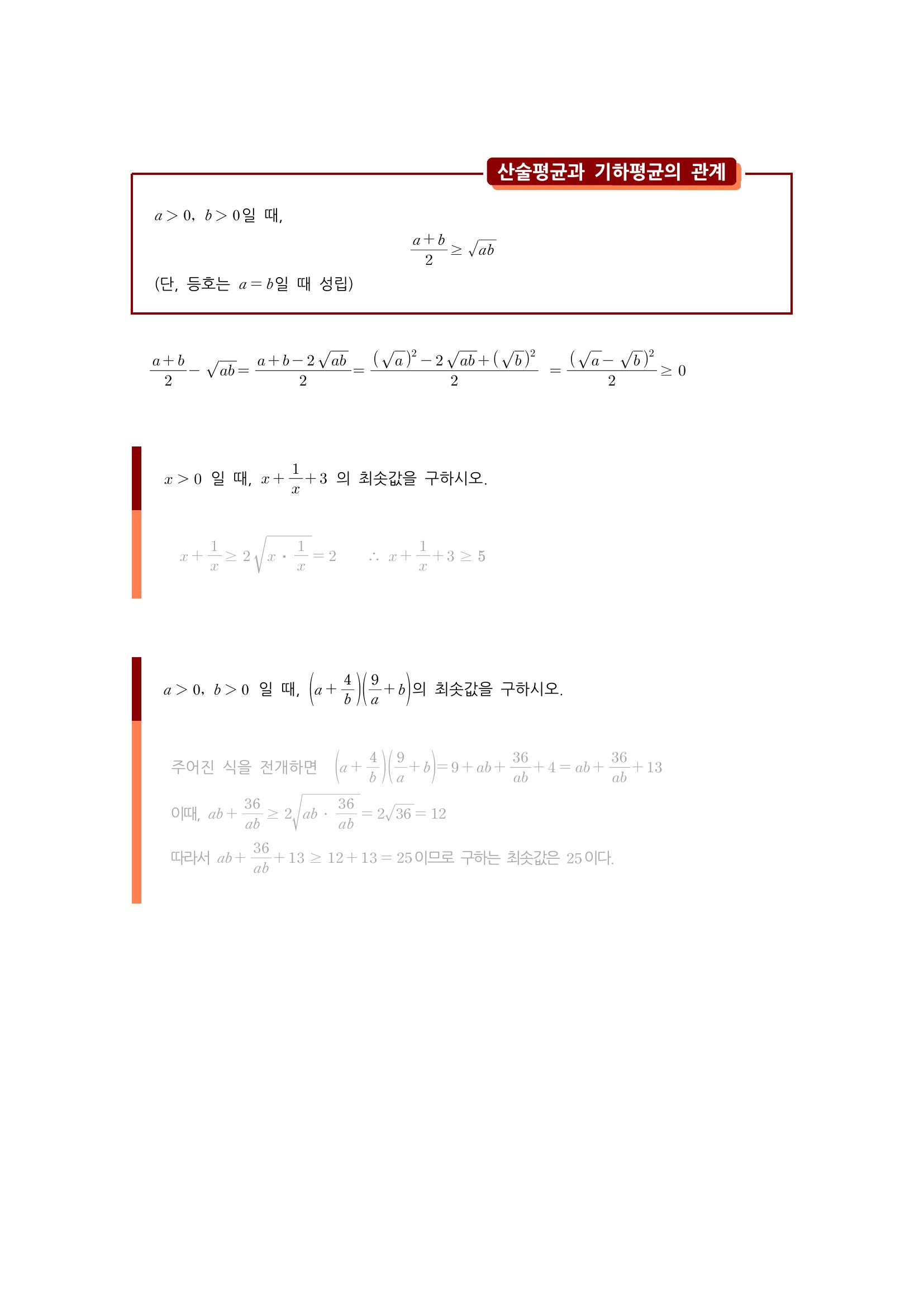
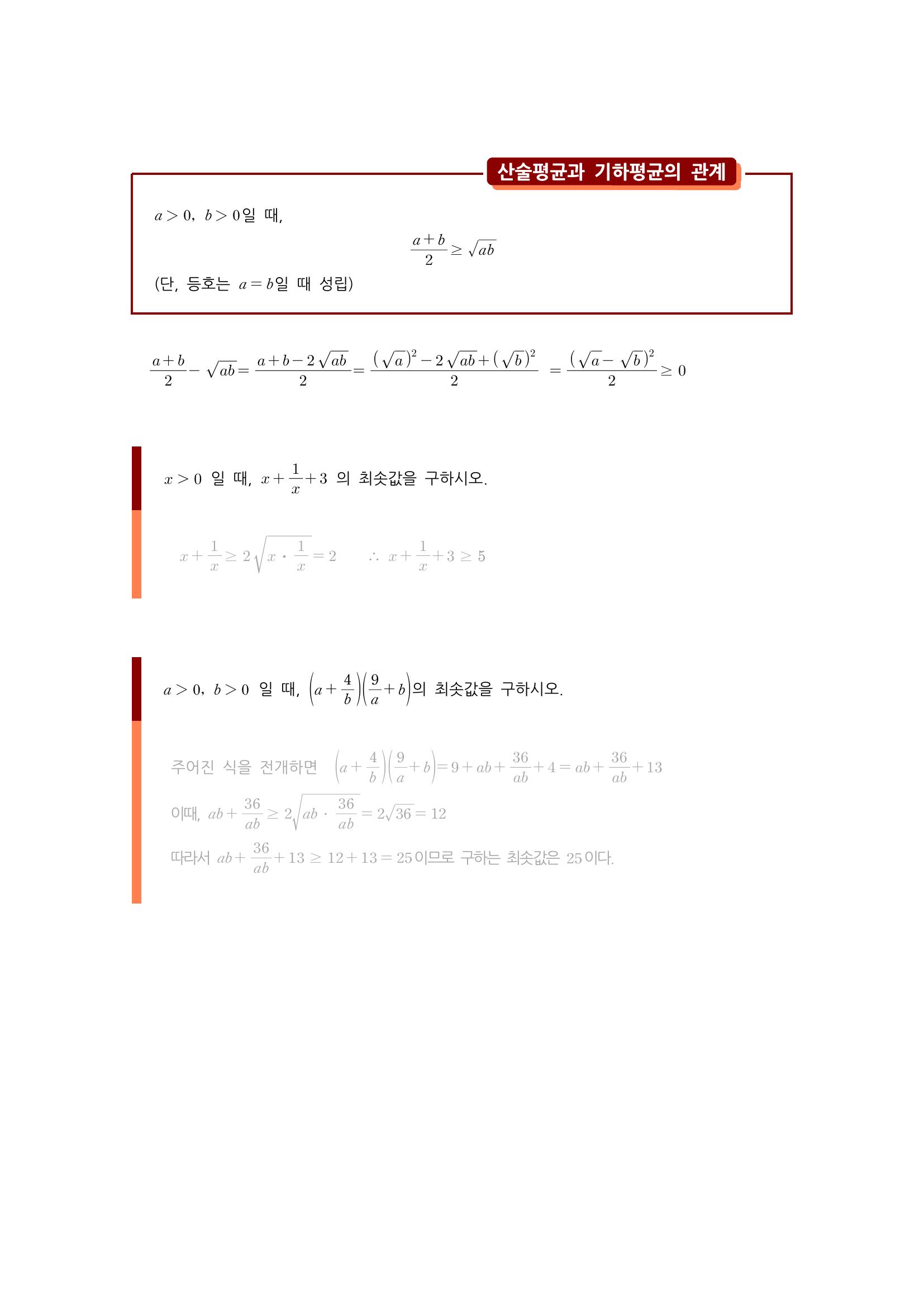
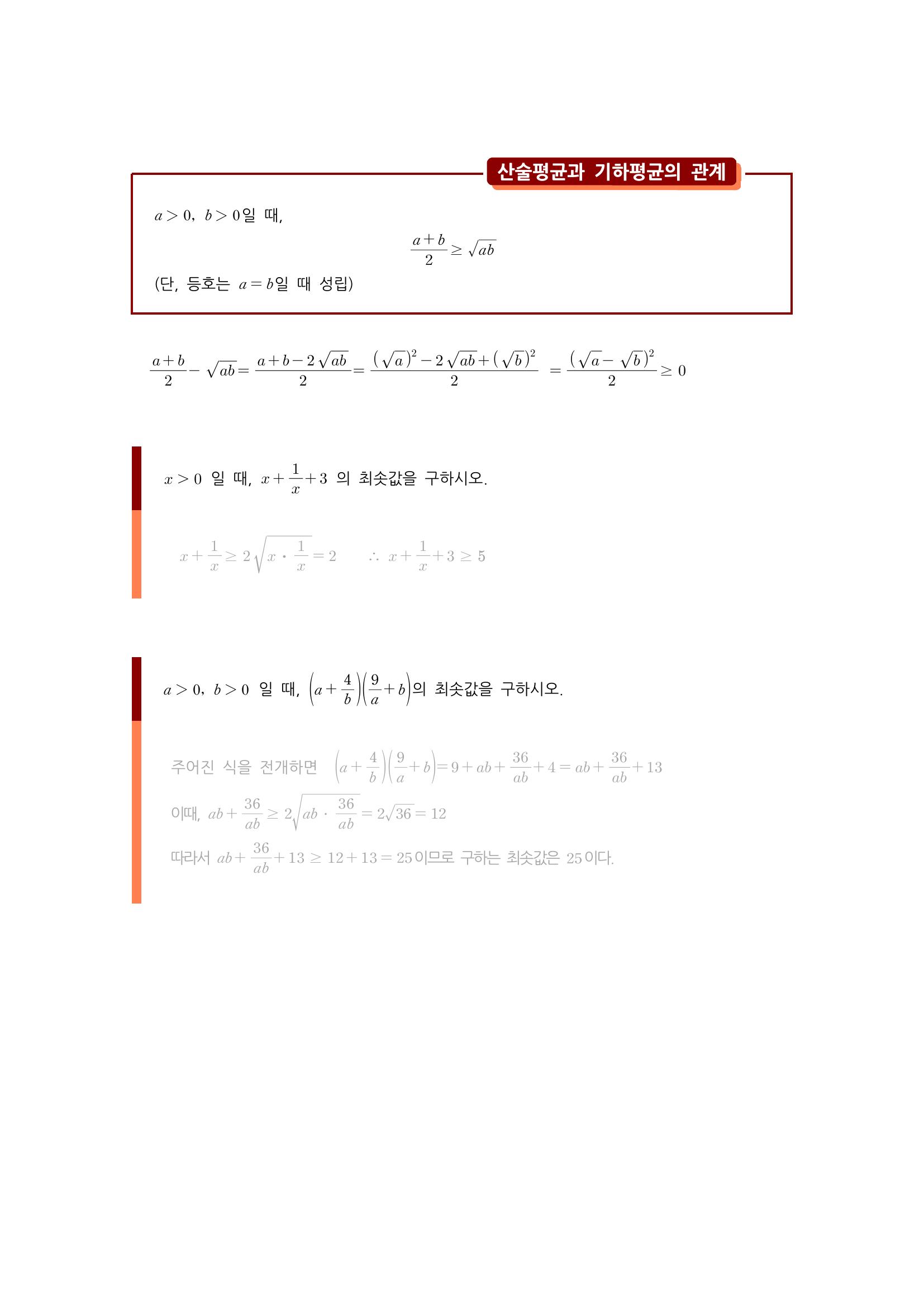
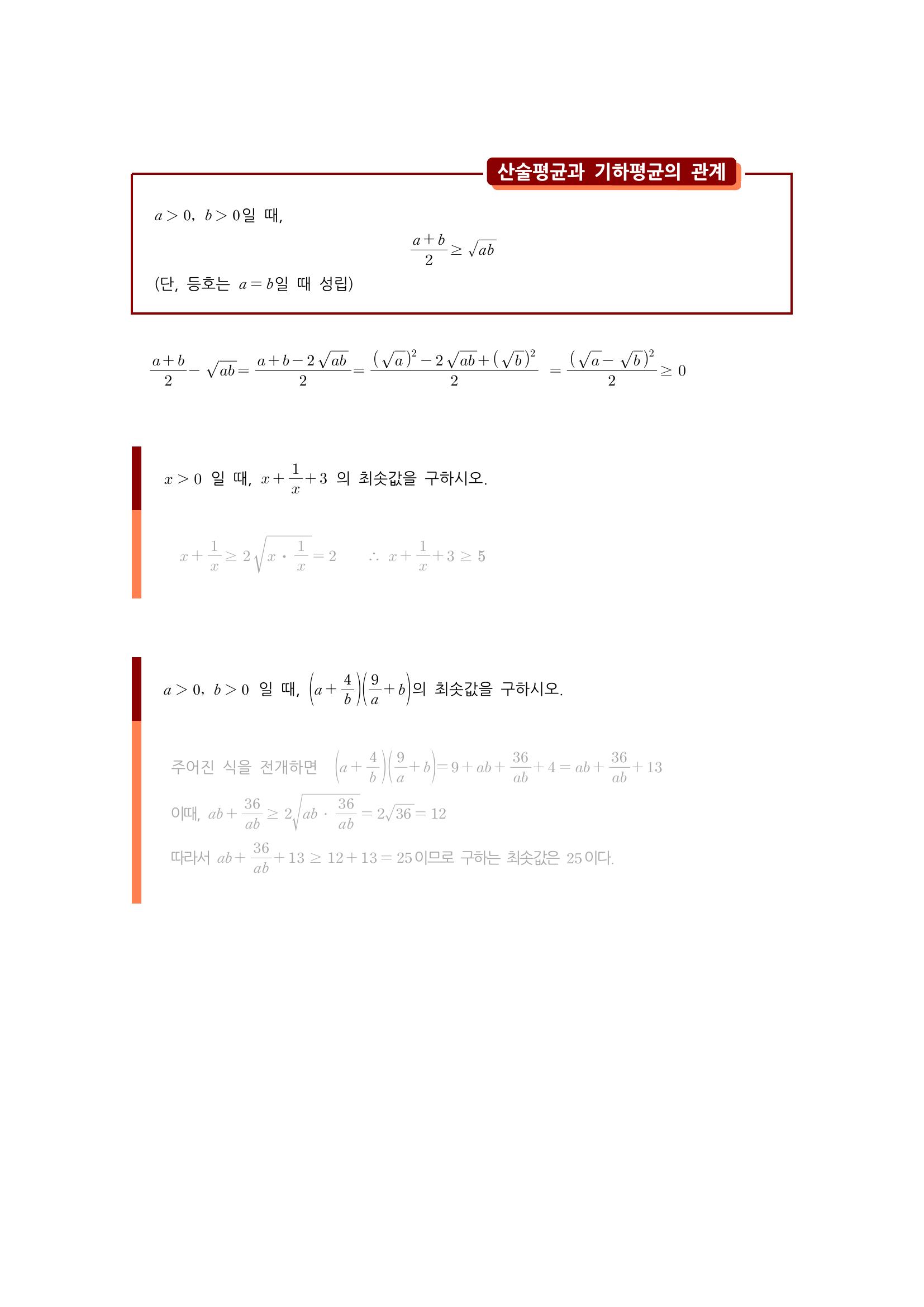
수학 개념 정리/공식 : 충분조건과 필요조건, 필요충분조건, 명제의 증명, 절대부등식, 산술평균과 기하평균의 관계, 코시-슈바르츠 부등식 본문
Study Materials/고등 수학 개념 정리
수학 개념 정리/공식 : 충분조건과 필요조건, 필요충분조건, 명제의 증명, 절대부등식, 산술평균과 기하평균의 관계, 코시-슈바르츠 부등식
GoldGiver 2020. 4. 23. 00:40






'Study Materials > 고등 수학 개념 정리' 카테고리의 다른 글
| 수학 개념 정리/공식 : 합성함수, 합성함수의 성질, 역함수, 역함수 구하기, 역함수의 성질, 역함수의 그래프 (0) | 2020.04.24 |
|---|---|
| 수학 개념 정리/공식 : 함수, 정의역과 공역, 함숫값과 치역, 함수의 그래프, 일대일함수, 일대일대응, 항등함수, 상수함수 (0) | 2020.04.23 |
| 수학 개념 정리/공식 : 명제와 조건, 진리집합, 명제와 조건의 부정, 명제의 역과 대우, 삼단논법 (0) | 2020.04.23 |
| 수학 개념 정리/공식 : 여집합과 차집합, 집합의 연산법칙(교환법칙, 결합법칙), 드모르간의 법칙, 합집합의 원소의 갯수 (1) | 2020.04.23 |
| 수학 개념 정리/공식 : 집합과 원소, 집합의 분류, 부분집합, 부분집합의 갯수, 합집합과 교집합 (2) | 2020.04.23 |
Comments