KoreanFoodie's Study
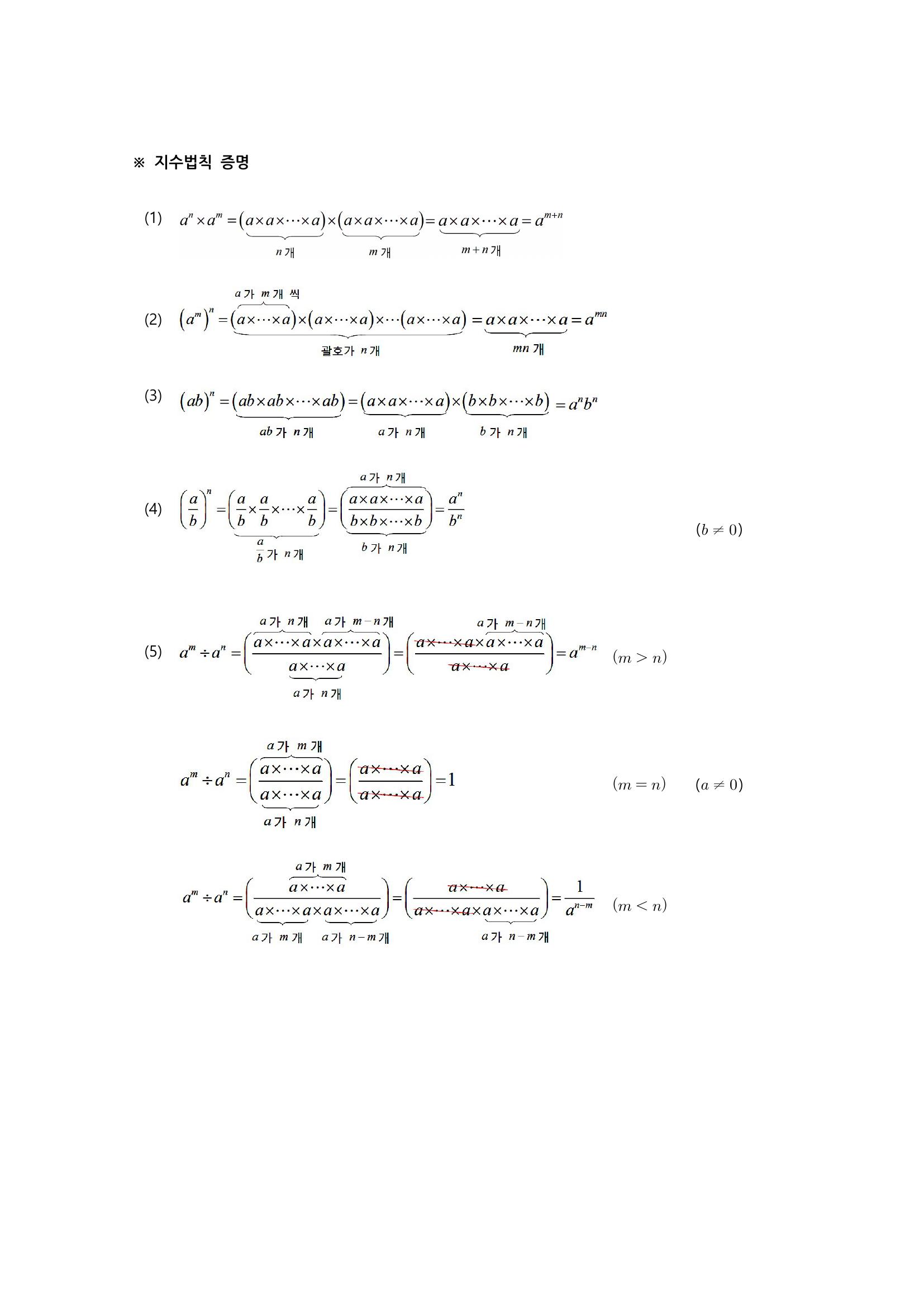
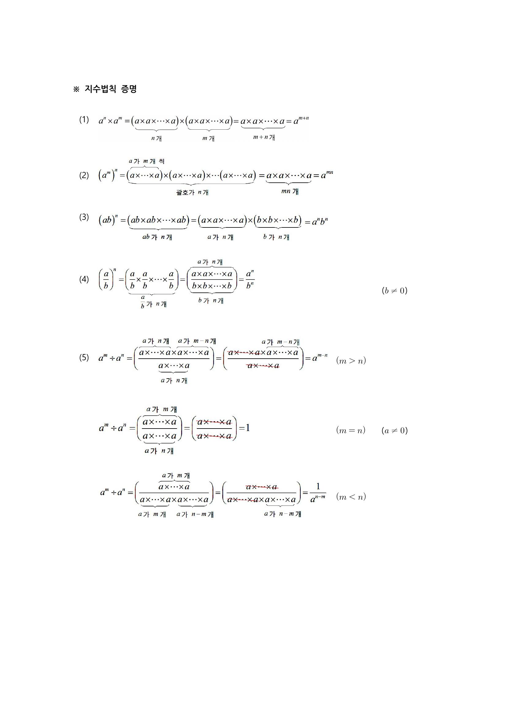
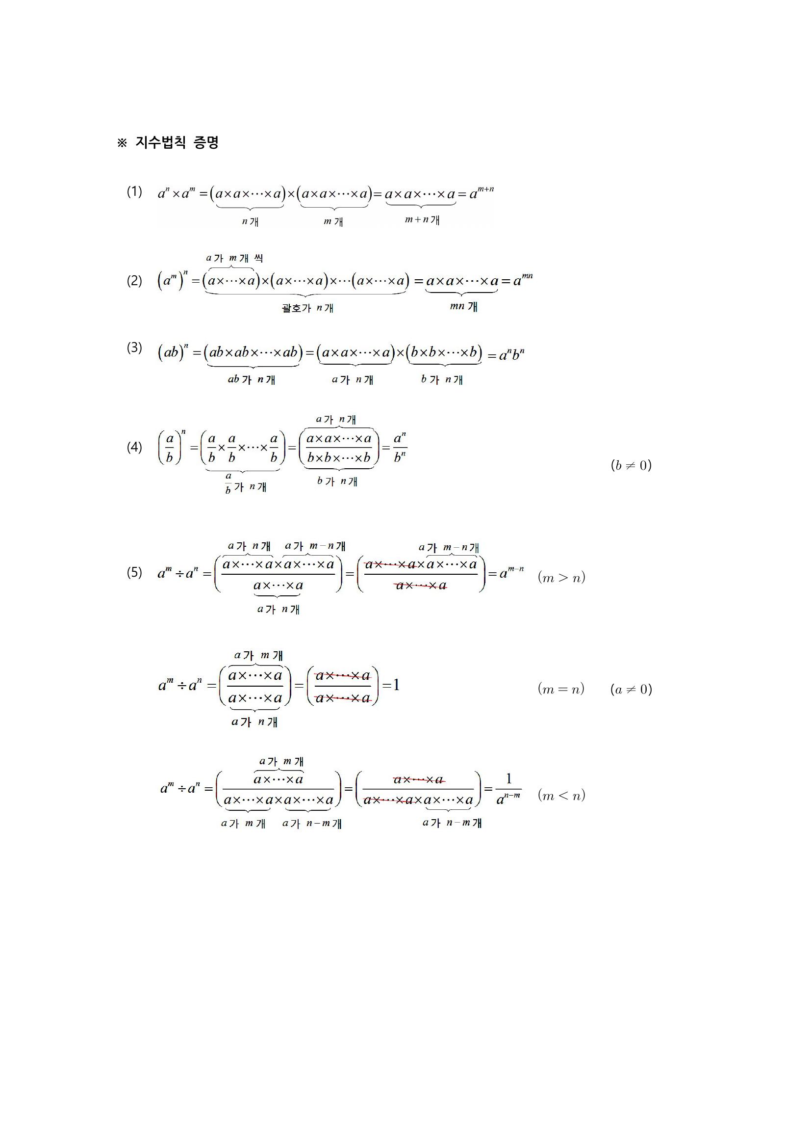
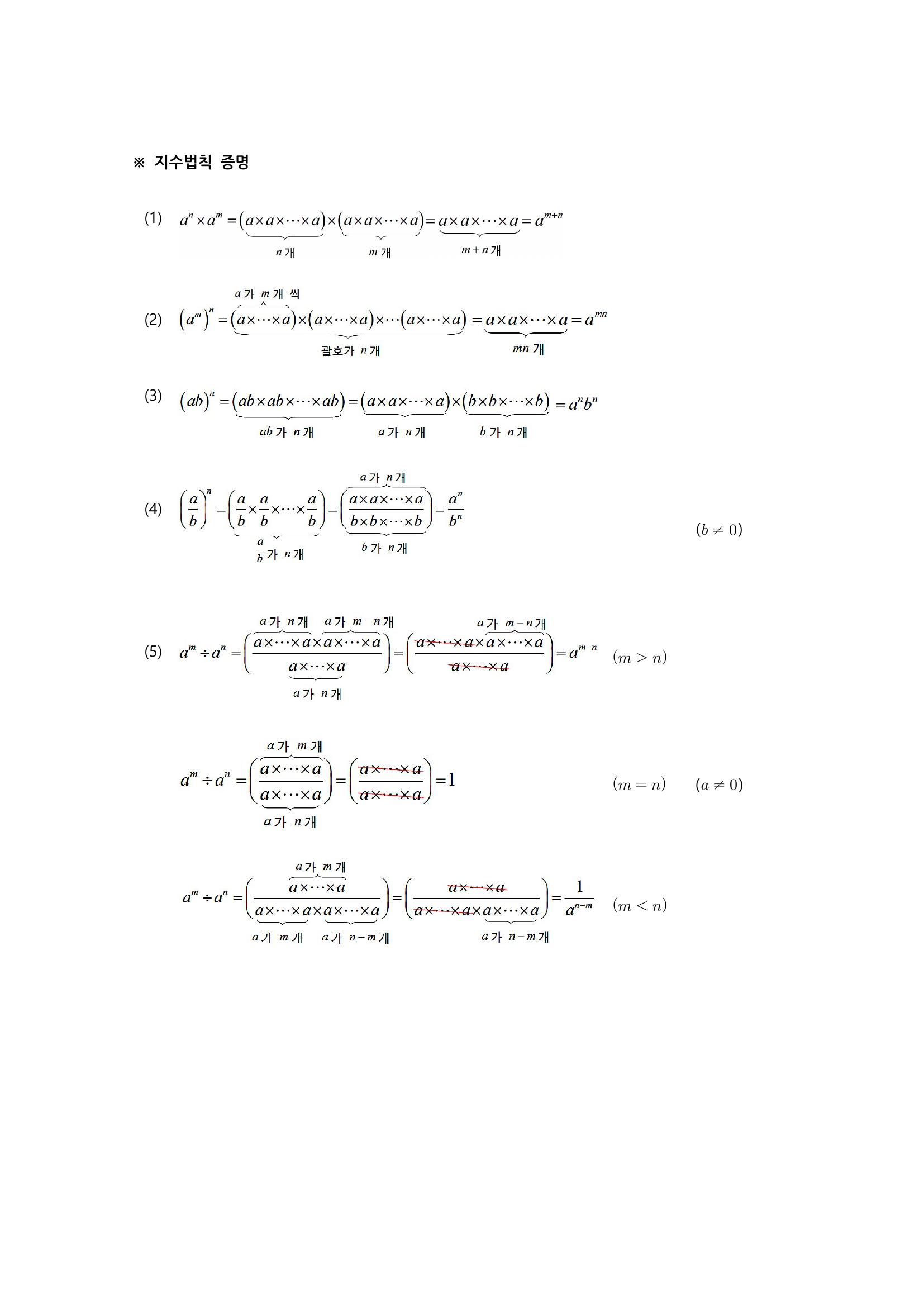
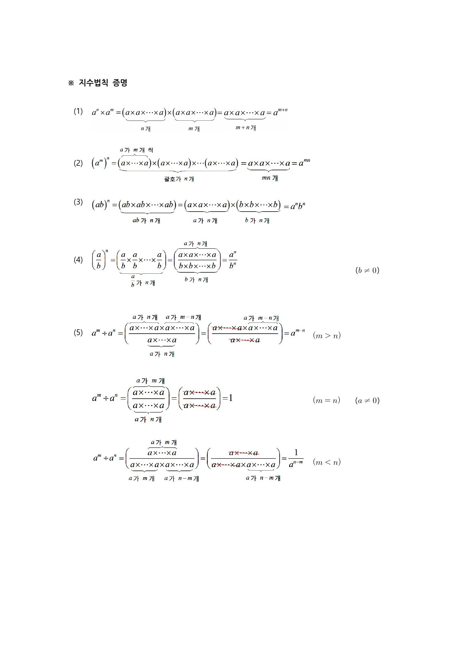
수학 개념 정리/공식 : 거듭제곱과 거듭제곱근, 지수법칙 증명 본문






'Study Materials > 고등 수학 개념 정리' 카테고리의 다른 글
| 수학 개념 정리/공식 : 로그, 로그의 밑조건과 진수조건, 로그의 성질, 로그의 밑의 변환, 지수에 로그가 등장하는 경우, 상용로그 (0) | 2020.04.24 |
|---|---|
| 수학 개념 정리/공식 : 정수 지수로의 확장, 지수가 정수인 경우의 지수법칙, 지수가 유리수인 경우, 지수가 무리수인 경우 (0) | 2020.04.24 |
| 수학 개념 정리/공식 : 조합, nCr, 조 나누기, 파스칼의 법칙 (0) | 2020.04.24 |
| 수학 개념 정리/공식 : 경우의 수, 합의 법칙, 곱의 법칙, 순열, n의 계승, nPk (0) | 2020.04.24 |
| 수학 개념 정리/공식 : 무리식, 분모의 유리화, 무리함수, 무리함수의 그래프 (0) | 2020.04.24 |
Comments