KoreanFoodie's Study
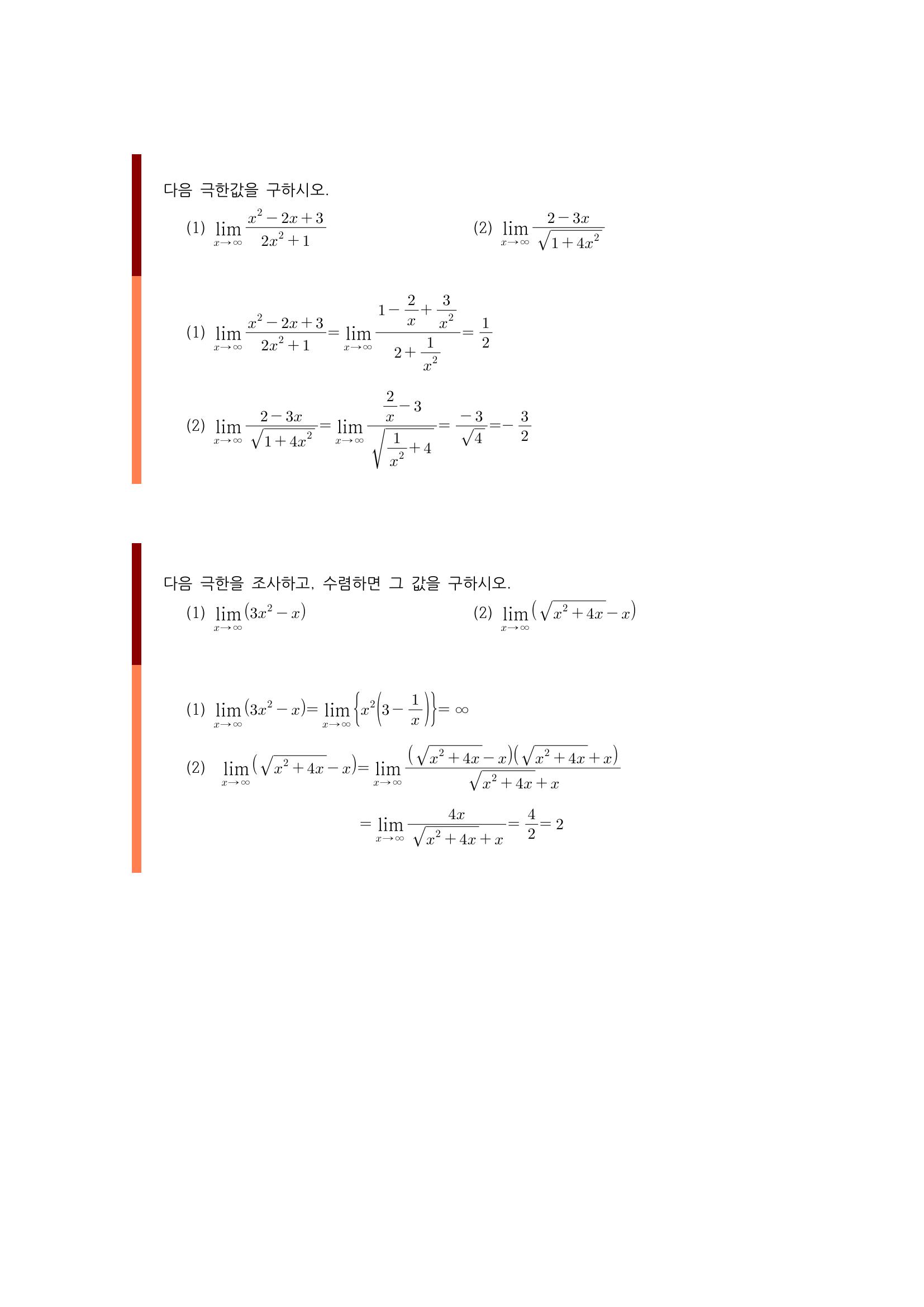
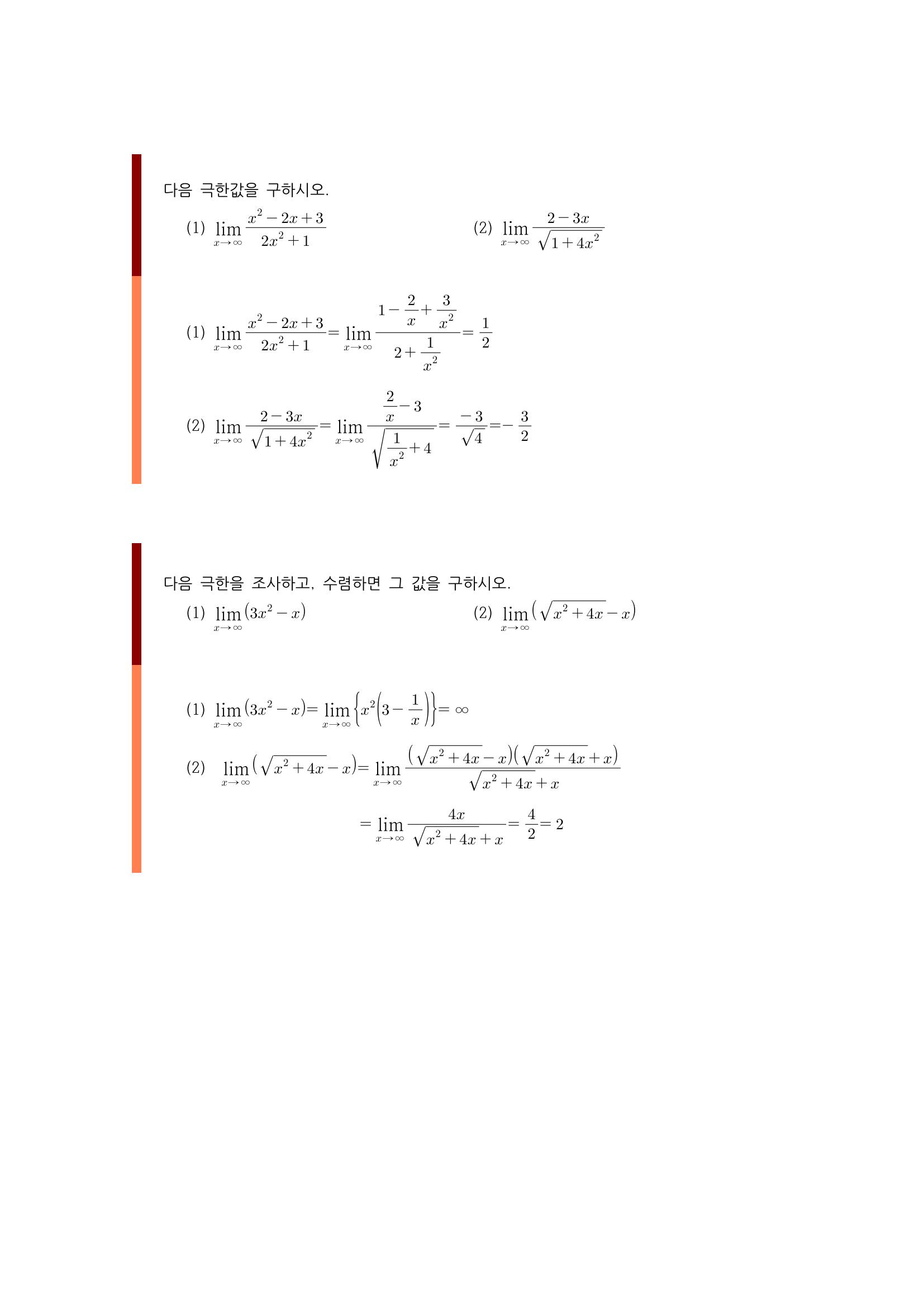
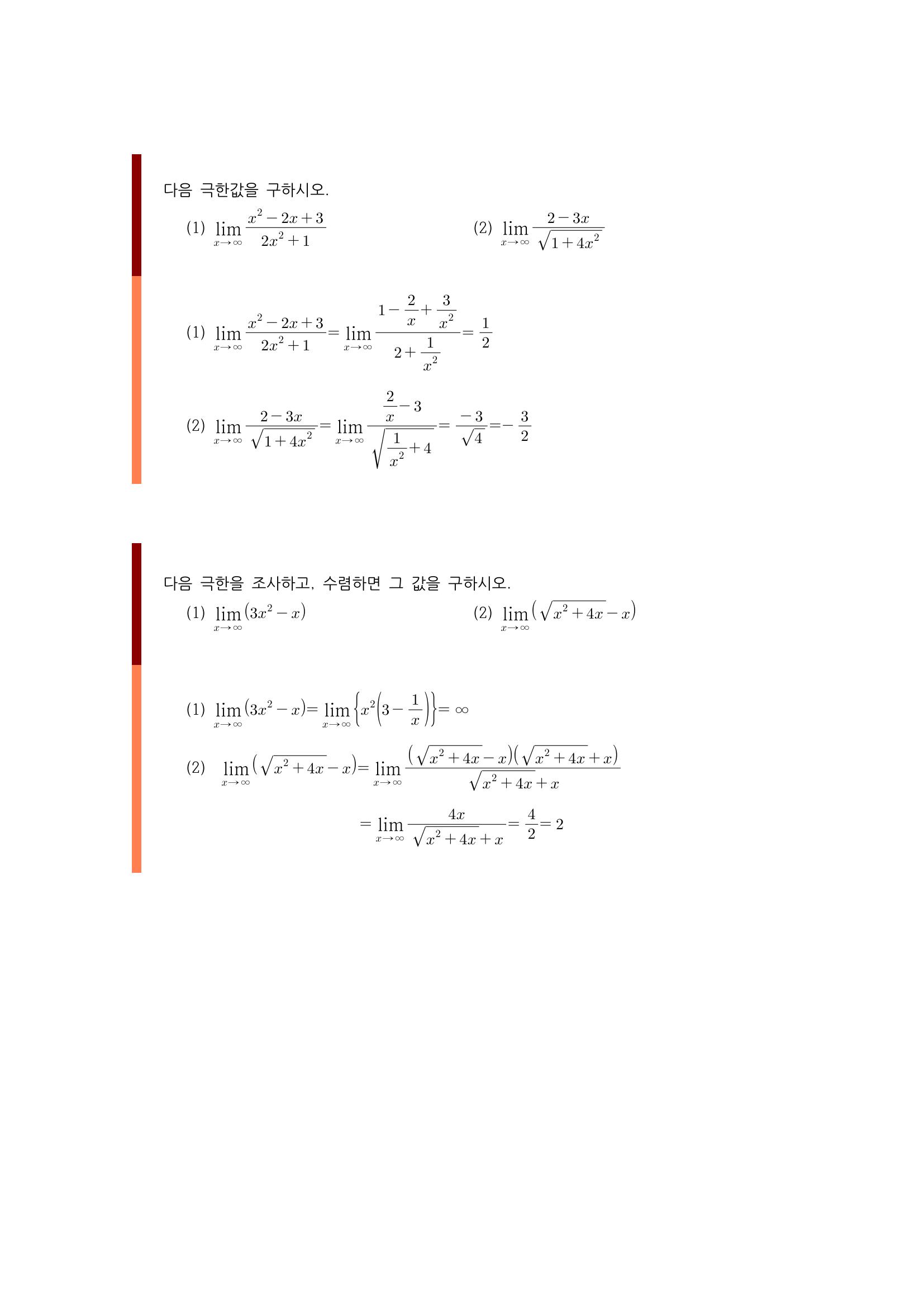
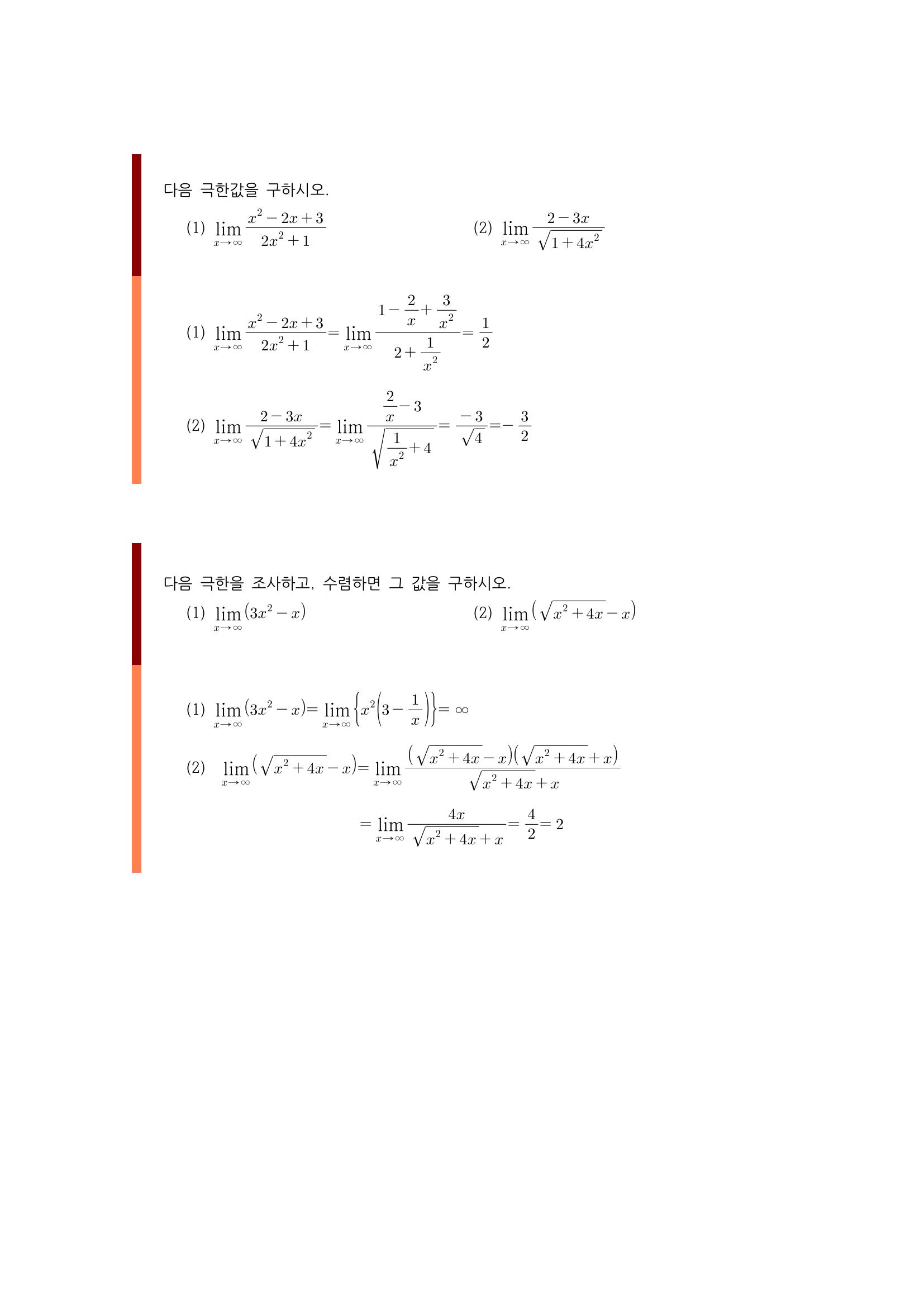
수학 개념 정리/공식 : 함수의 극한의 성질, 함수의 극한값의 계산, 미정계수의 결정, 함수의 극한의 대소 관계 본문
Study Materials/고등 수학 개념 정리
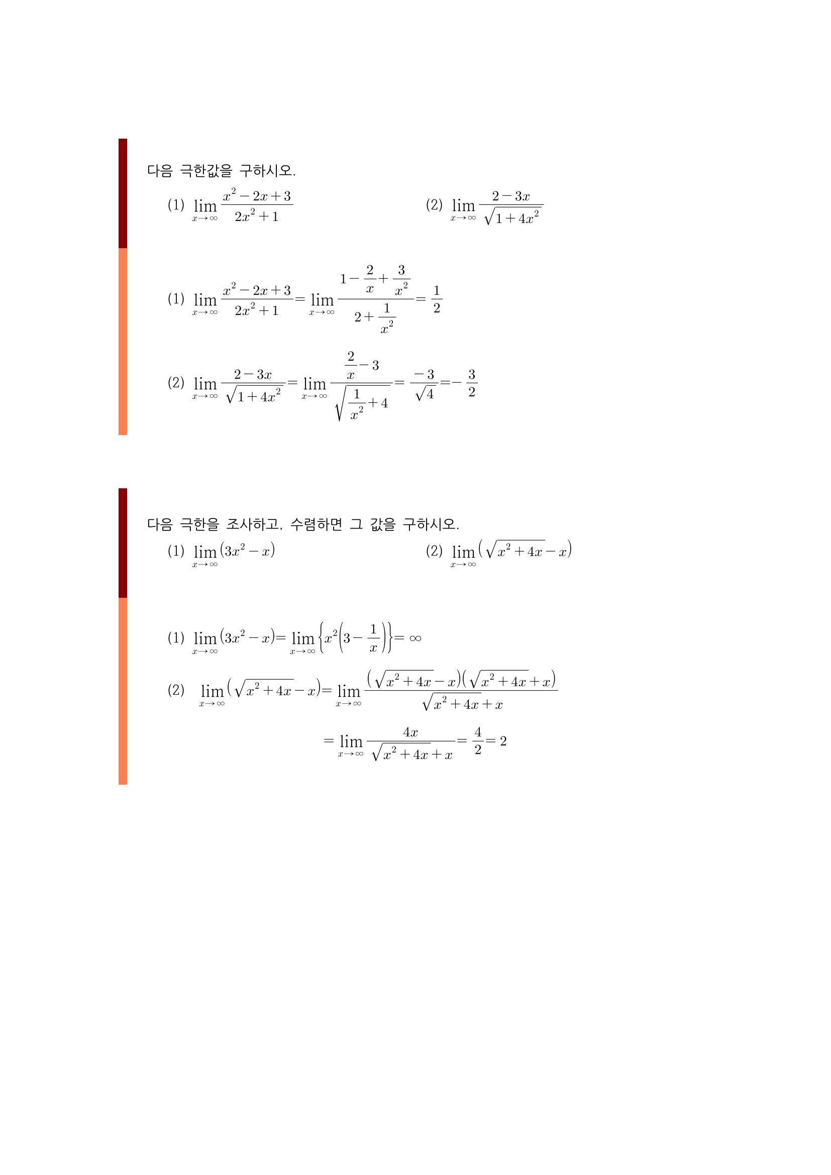
수학 개념 정리/공식 : 함수의 극한의 성질, 함수의 극한값의 계산, 미정계수의 결정, 함수의 극한의 대소 관계
GoldGiver 2020. 4. 24. 00:43









'Study Materials > 고등 수학 개념 정리' 카테고리의 다른 글
| 수학 개념 정리/공식 : 연속함수의 성질, 최대/최소 정리, 사잇값 정리 (0) | 2020.04.24 |
|---|---|
| 수학 개념 정리/공식 : 연속함수, 함수의 연속과 불연속 (0) | 2020.04.24 |
| 수학 개념 정리/공식 : 함수의 극한, 함수의 발산, 함수의 좌극한과 우극한 (0) | 2020.04.24 |
| 수학 개념 정리/공식 : 수열의 귀납적 적의, 수학적 귀납법 (0) | 2020.04.24 |
| 수학 개념 정리/공식 : 시그마의 뜻과 성질, 자연수 거듭제곱의 합, 분수 수열의 합, 수열의 합과 일반항과의 관계 (0) | 2020.04.24 |
Comments