KoreanFoodie's Study
수학 개념 정리/공식 : 정적분의 정의, 정적분과 미분의 관계, 정적분의 성질 본문
Study Materials/고등 수학 개념 정리
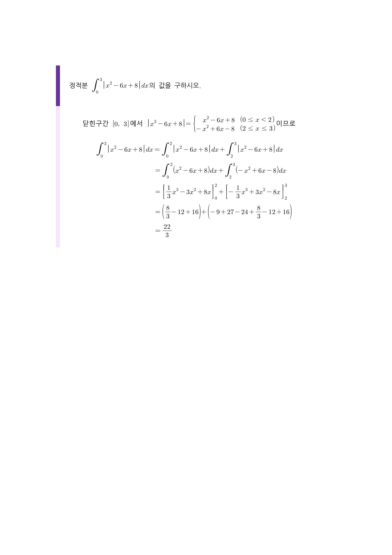
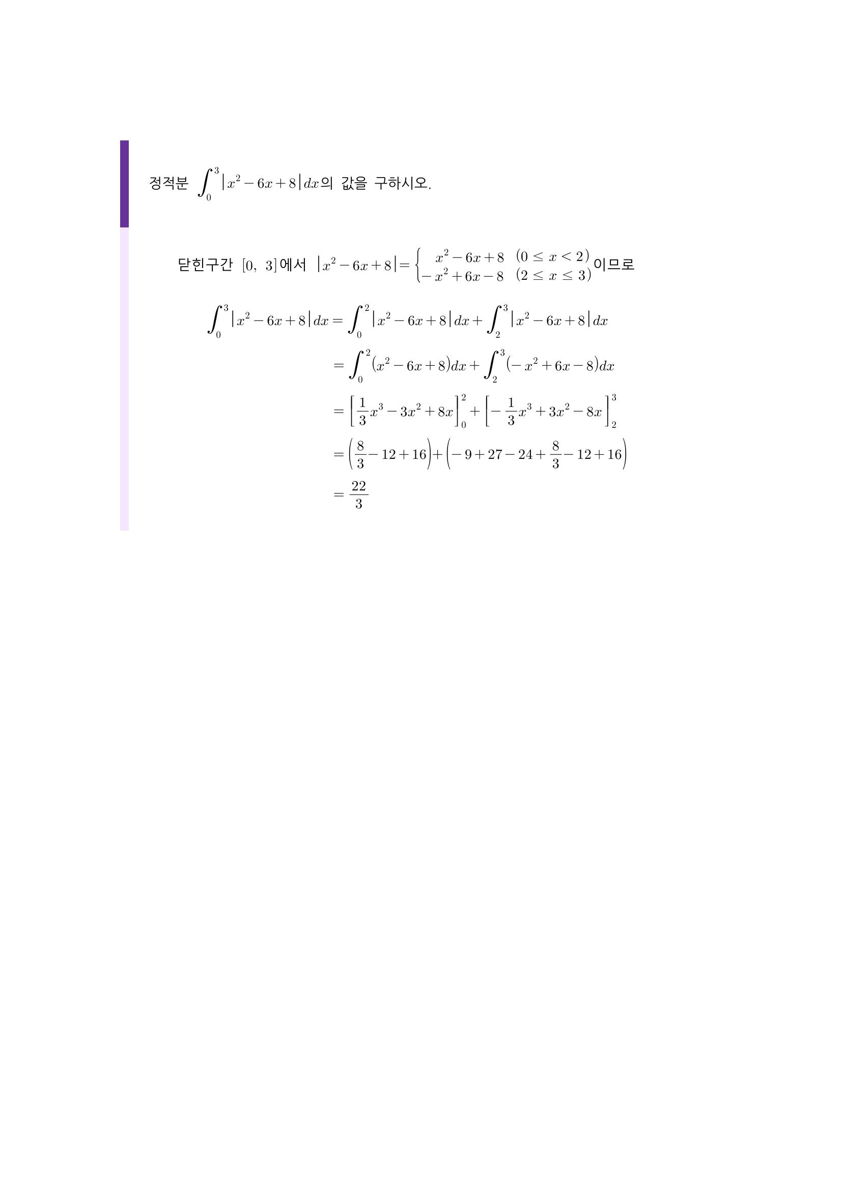
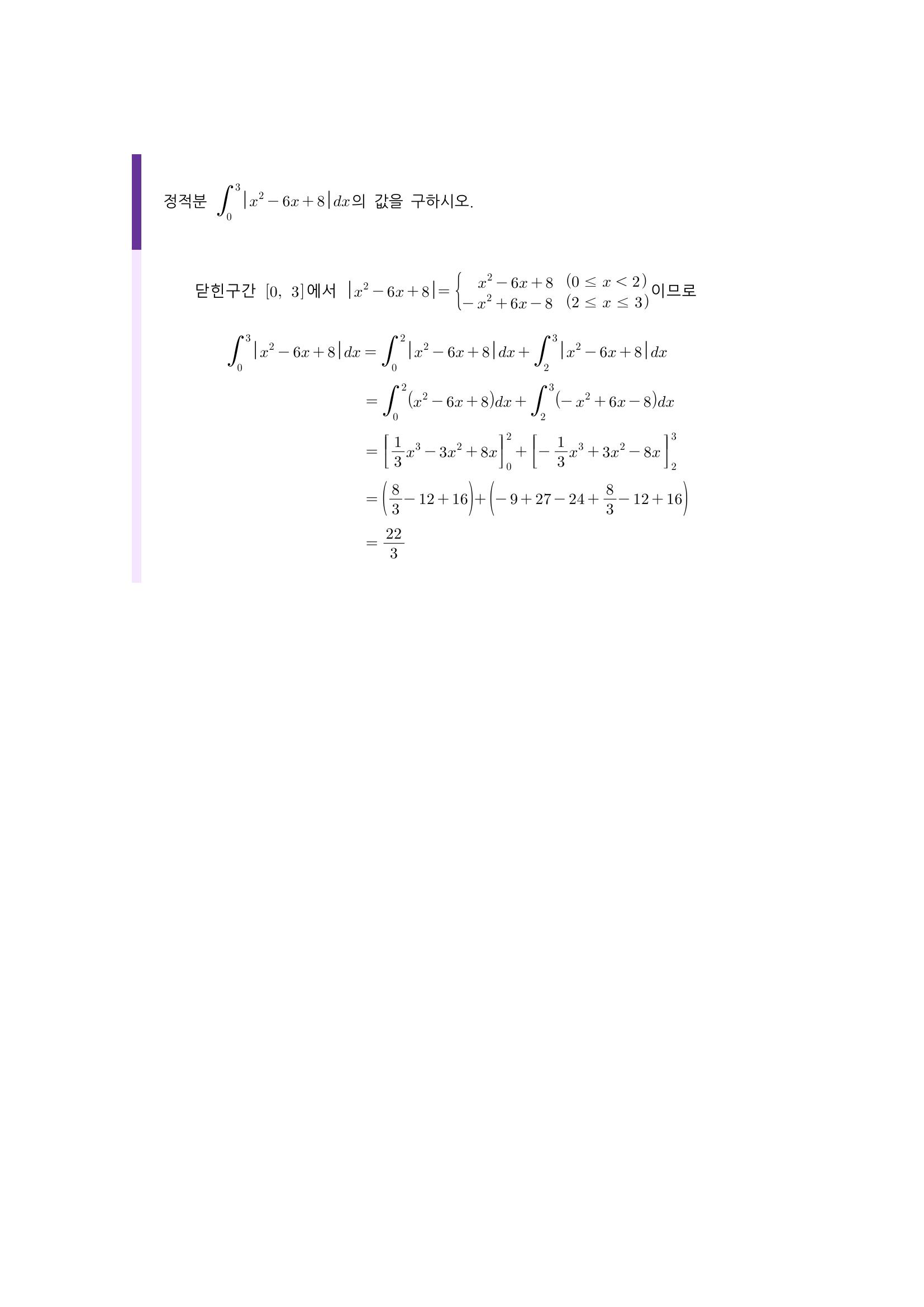
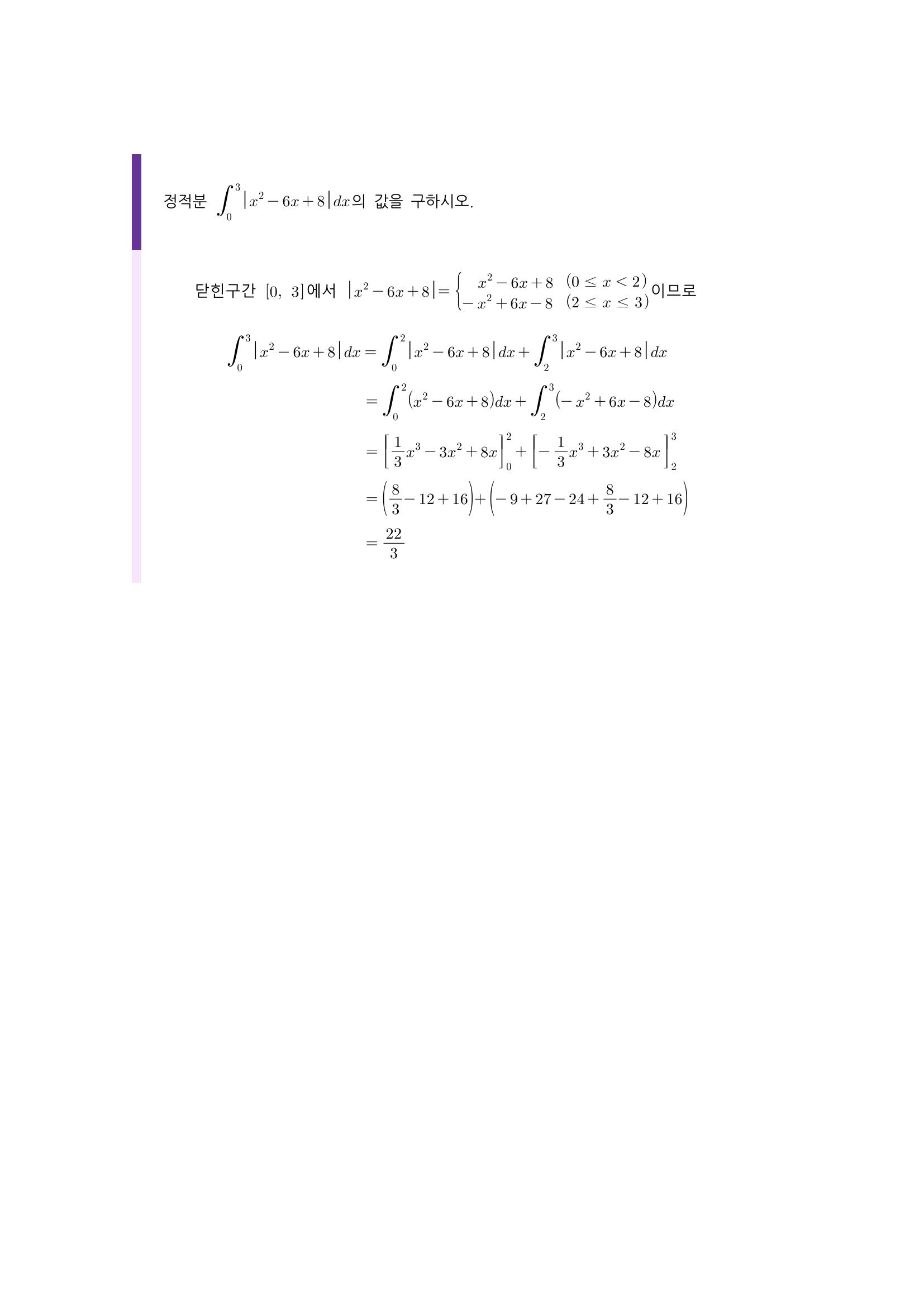
수학 개념 정리/공식 : 정적분의 정의, 정적분과 미분의 관계, 정적분의 성질
GoldGiver 2020. 4. 24. 00:53





'Study Materials > 고등 수학 개념 정리' 카테고리의 다른 글
| 수학 개념 정리/공식 : 속도와 거리, 수직선 위를 움직이는 점의 위치, 수직선 위를 움직이는 점의 이동 거리 (0) | 2020.04.24 |
|---|---|
| 수학 개념 정리/공식 : 정적분의 활용, 곡선과 x축 사이의 넓이, 두 곡선 사이의 넓이 (0) | 2020.04.24 |
| 수학 개념 정리/공식 : 부정적분, 부정적분과 미분의 관계, 함수의 실수배, 합/차의 부정적분 (0) | 2020.04.24 |
| 수학 개념 정리/공식 : 속도와 가속도 (0) | 2020.04.24 |
| 수학 개념 정리/공식 : 함수의 그래프, 함수의 최대와 최소, 함수의 그래프와 방정식의 실근, 함수의 그래프와 부등식의 증명 (0) | 2020.04.24 |
Comments
