KoreanFoodie's Study
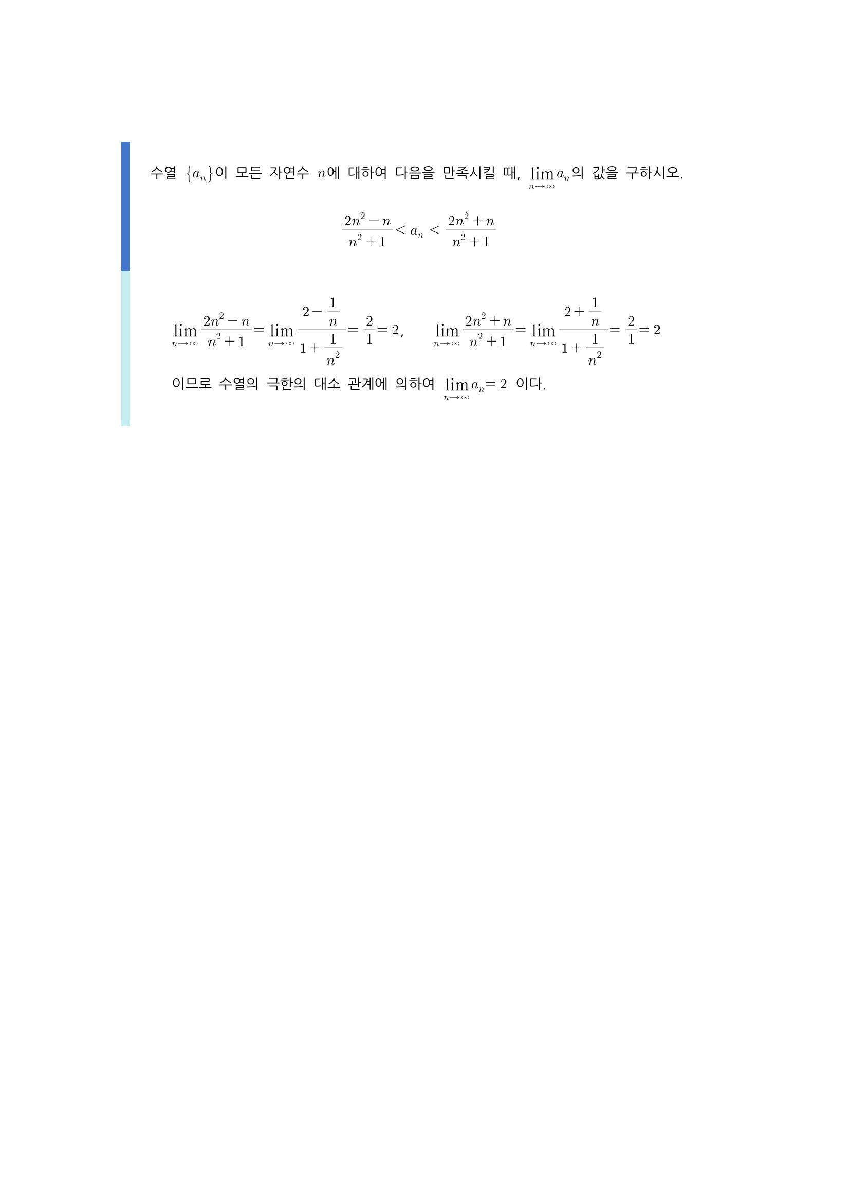
수학 개념 정리/공식 : 수열의 극한의 성질, 극한값의 계산, 수열의 극한의 대소 관계 본문
Study Materials/고등 수학 개념 정리
수학 개념 정리/공식 : 수열의 극한의 성질, 극한값의 계산, 수열의 극한의 대소 관계
GoldGiver 2020. 4. 24. 00:57




'Study Materials > 고등 수학 개념 정리' 카테고리의 다른 글
| 수학 개념 정리/공식 : 급수와 부분합, 급수의 수렴과 발산, 급수의 성질 (0) | 2020.04.24 |
|---|---|
| 수학 개념 정리/공식 : 등비수열의 수렴과 발산 (0) | 2020.04.24 |
| 수학 개념 정리/공식 : 수열의 수렴, 수열의 발산 (0) | 2020.04.24 |
| 수학 개념 정리/공식 : 속도와 거리, 수직선 위를 움직이는 점의 위치, 수직선 위를 움직이는 점의 이동 거리 (0) | 2020.04.24 |
| 수학 개념 정리/공식 : 정적분의 활용, 곡선과 x축 사이의 넓이, 두 곡선 사이의 넓이 (0) | 2020.04.24 |
Comments