KoreanFoodie's Study
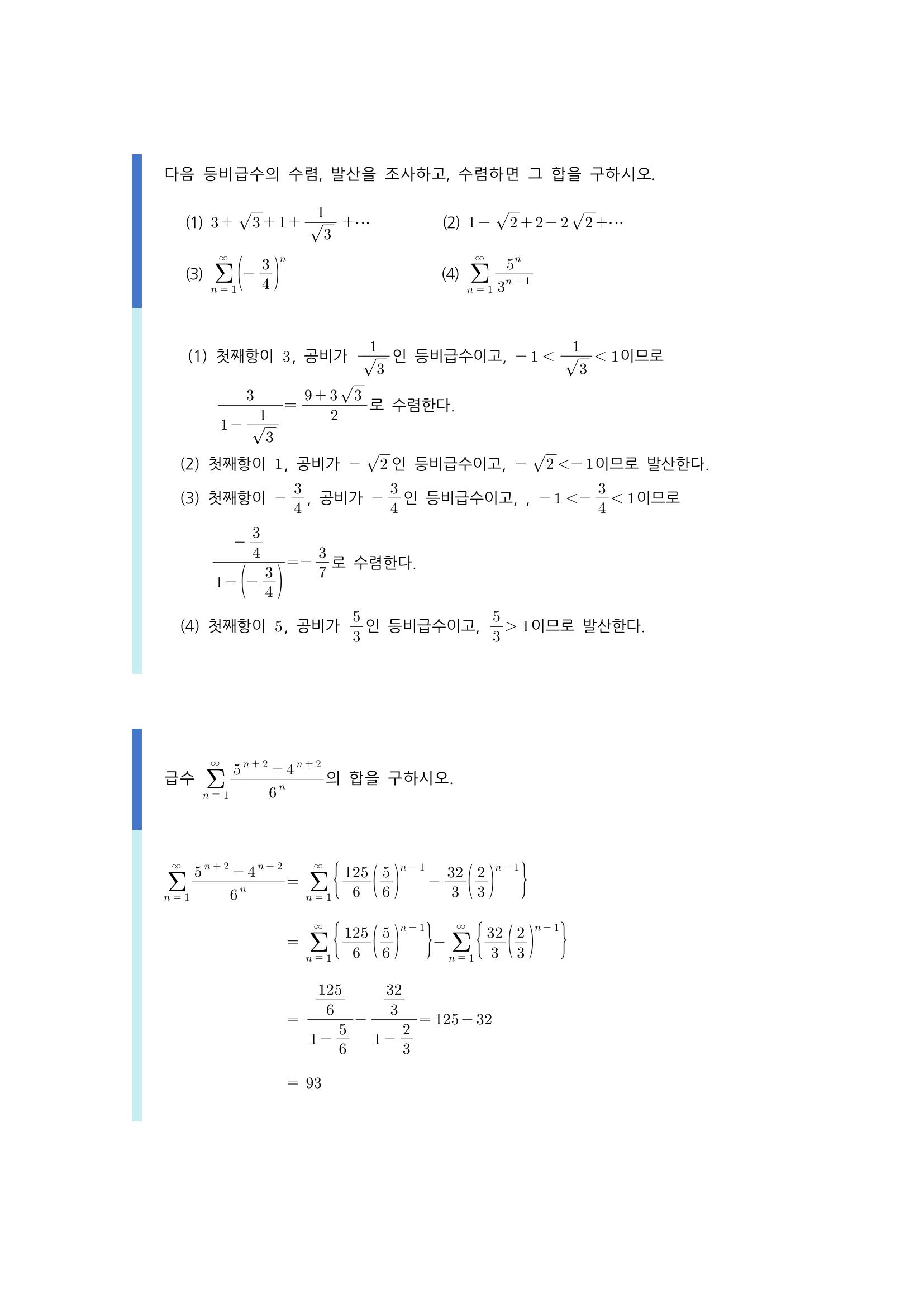
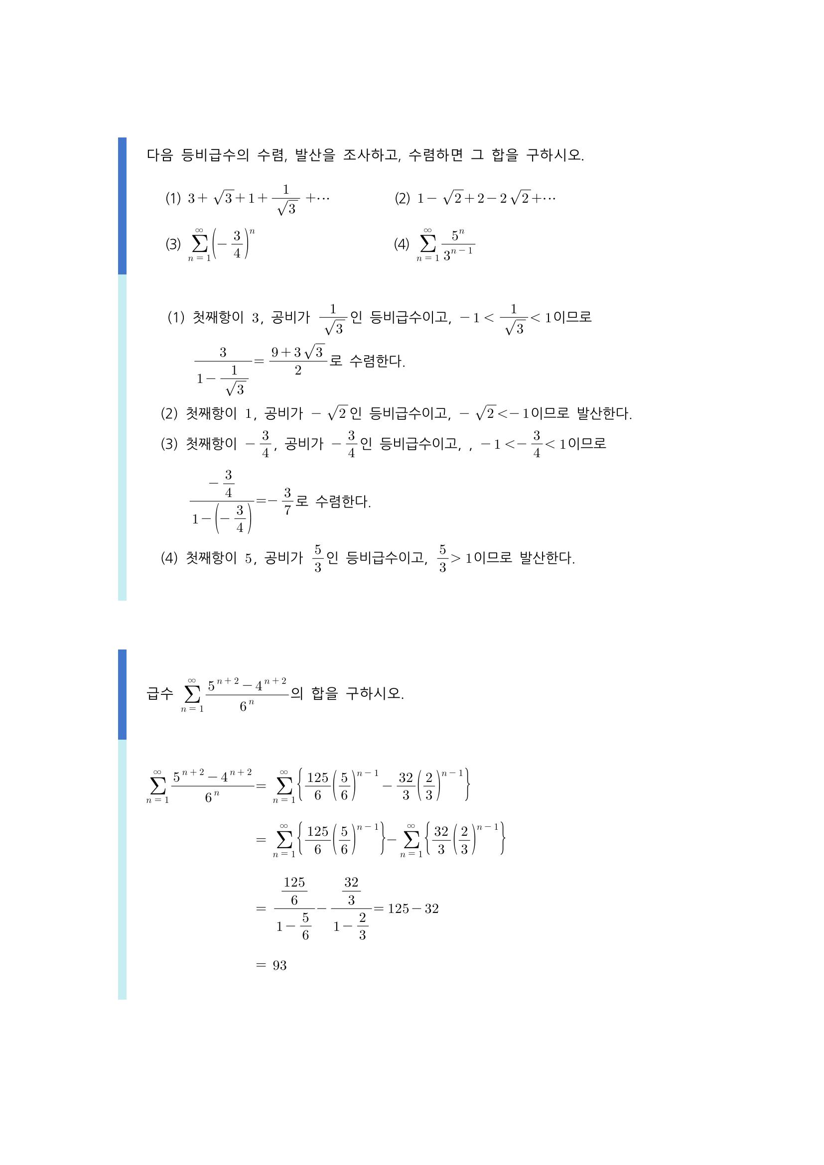
수학 개념 정리/공식 : 등비급수, 등비급수의 수렴과 발산, 등비급수의 활용, 순환소수, 도형과 등비급수 본문
Study Materials/고등 수학 개념 정리
수학 개념 정리/공식 : 등비급수, 등비급수의 수렴과 발산, 등비급수의 활용, 순환소수, 도형과 등비급수
GoldGiver 2020. 4. 24. 01:08




'Study Materials > 고등 수학 개념 정리' 카테고리의 다른 글
| 수학 개념 정리/공식 : 지수함수의 도함수, 로그함수의 도함수 (0) | 2020.04.24 |
|---|---|
| 수학 개념 정리/공식 : 지수함수와 로그함수의 극한, 자연상수 e, 자연로그, 지수함수와 로그함수의 극한 (0) | 2020.04.24 |
| 수학 개념 정리/공식 : 급수와 부분합, 급수의 수렴과 발산, 급수의 성질 (0) | 2020.04.24 |
| 수학 개념 정리/공식 : 등비수열의 수렴과 발산 (0) | 2020.04.24 |
| 수학 개념 정리/공식 : 수열의 극한의 성질, 극한값의 계산, 수열의 극한의 대소 관계 (0) | 2020.04.24 |
Comments