KoreanFoodie's Study
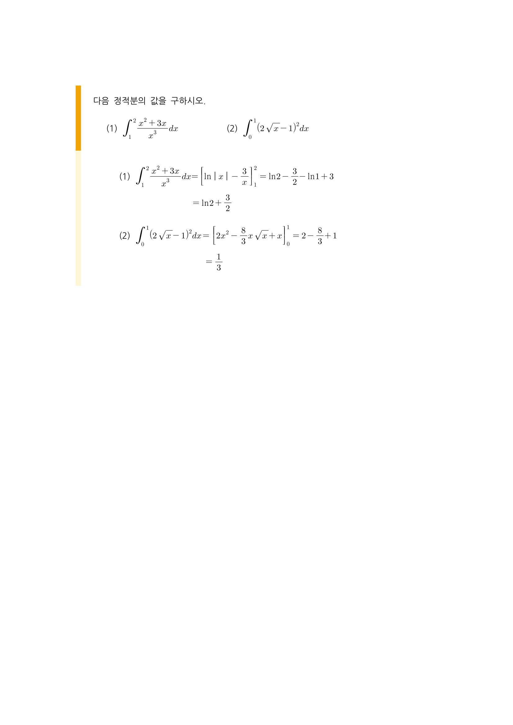
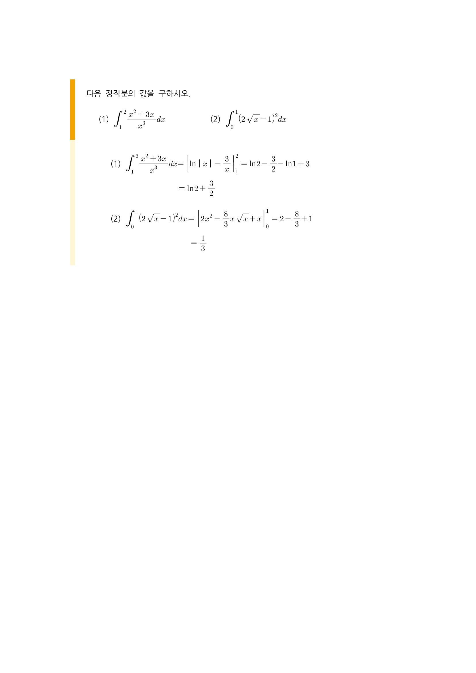
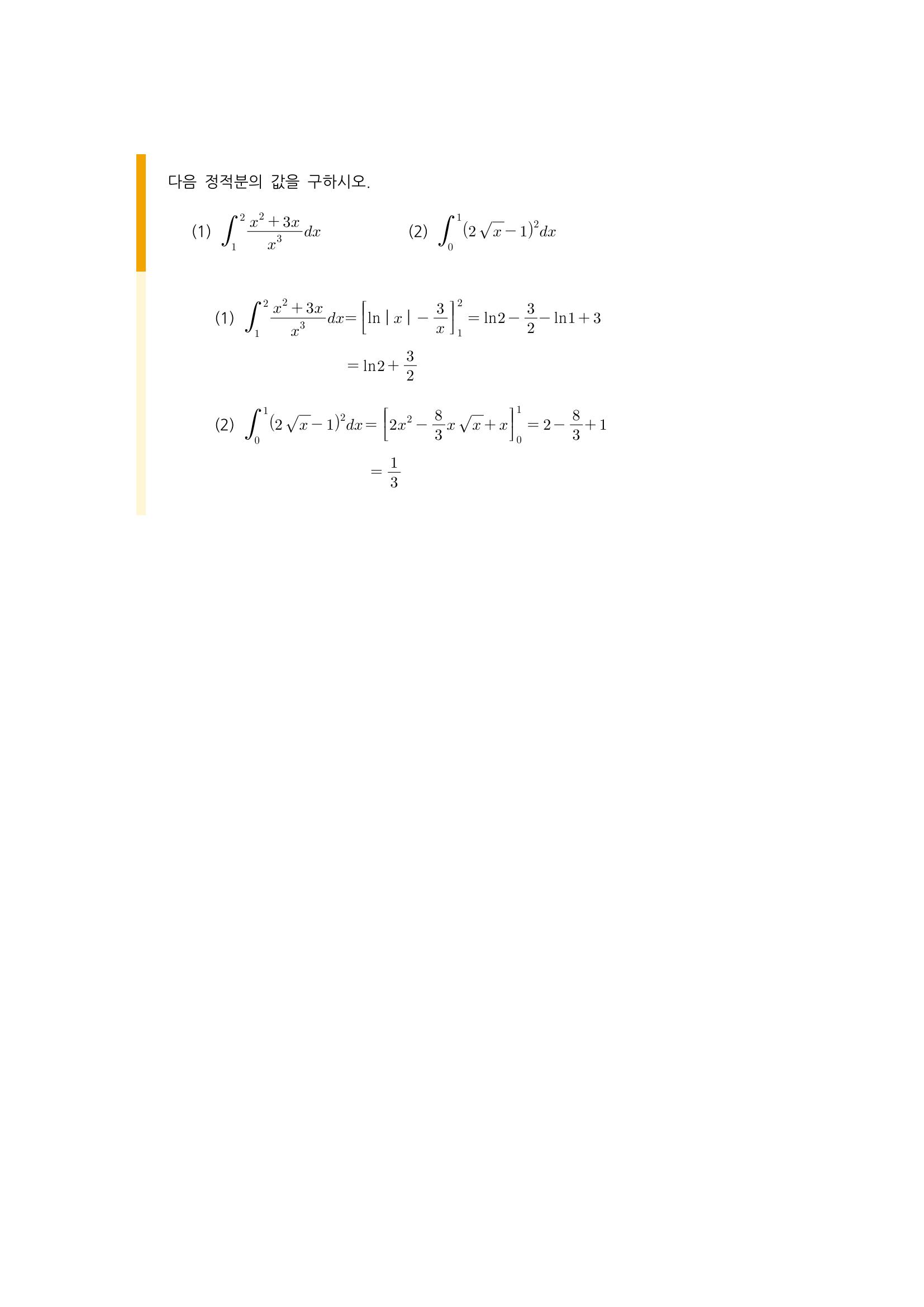
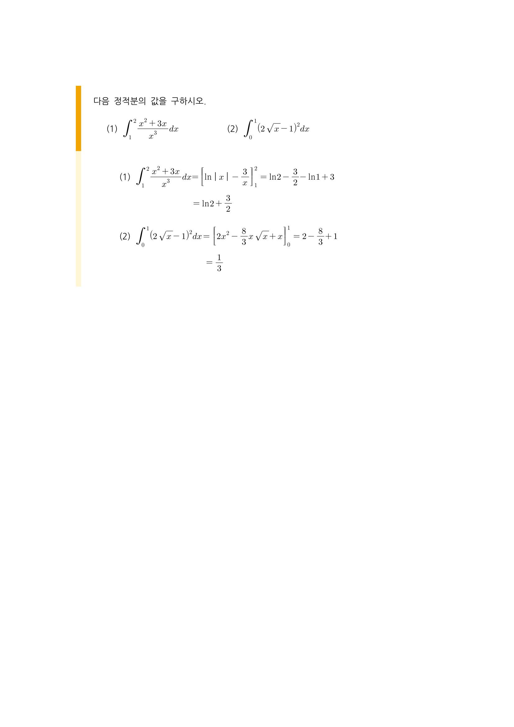
수학 개념 정리/공식 : 지수함수의 부정적분과 정적분, 삼각함수의 부정적분과 정적분 본문
Study Materials/고등 수학 개념 정리
수학 개념 정리/공식 : 지수함수의 부정적분과 정적분, 삼각함수의 부정적분과 정적분
GoldGiver 2020. 4. 24. 01:32




'Study Materials > 고등 수학 개념 정리' 카테고리의 다른 글
| 수학 개념 정리/공식 : 구분구적법, 정적분과 급수의 합 사이의 관계 (0) | 2020.04.25 |
|---|---|
| 수학 개념 정리/공식 : 치환적분법을 이용한 부정적분, 치환적분법을 이용한 정적분, 부분적분법, 부분적분법을 이용한 부정적분, 부분적분법을 이용한 정적분 (0) | 2020.04.24 |
| 수학 개념 정리/공식 : 속도와 가속도, 수직선 위를 움직이는 점의 속도와 가속도, 평면 위를 움직이는 점의 속도와 가속도 (0) | 2020.04.24 |
| 수학 개념 정리/공식 : 방정식의 실근의 개수, 부등식의 증명 (0) | 2020.04.24 |
| 수학 개념 정리/공식 : 접선의 방정식, 곡선의 볼록과 이계도함수, 변곡점과 이계도함수, 함수의 그래프 (0) | 2020.04.24 |
Comments