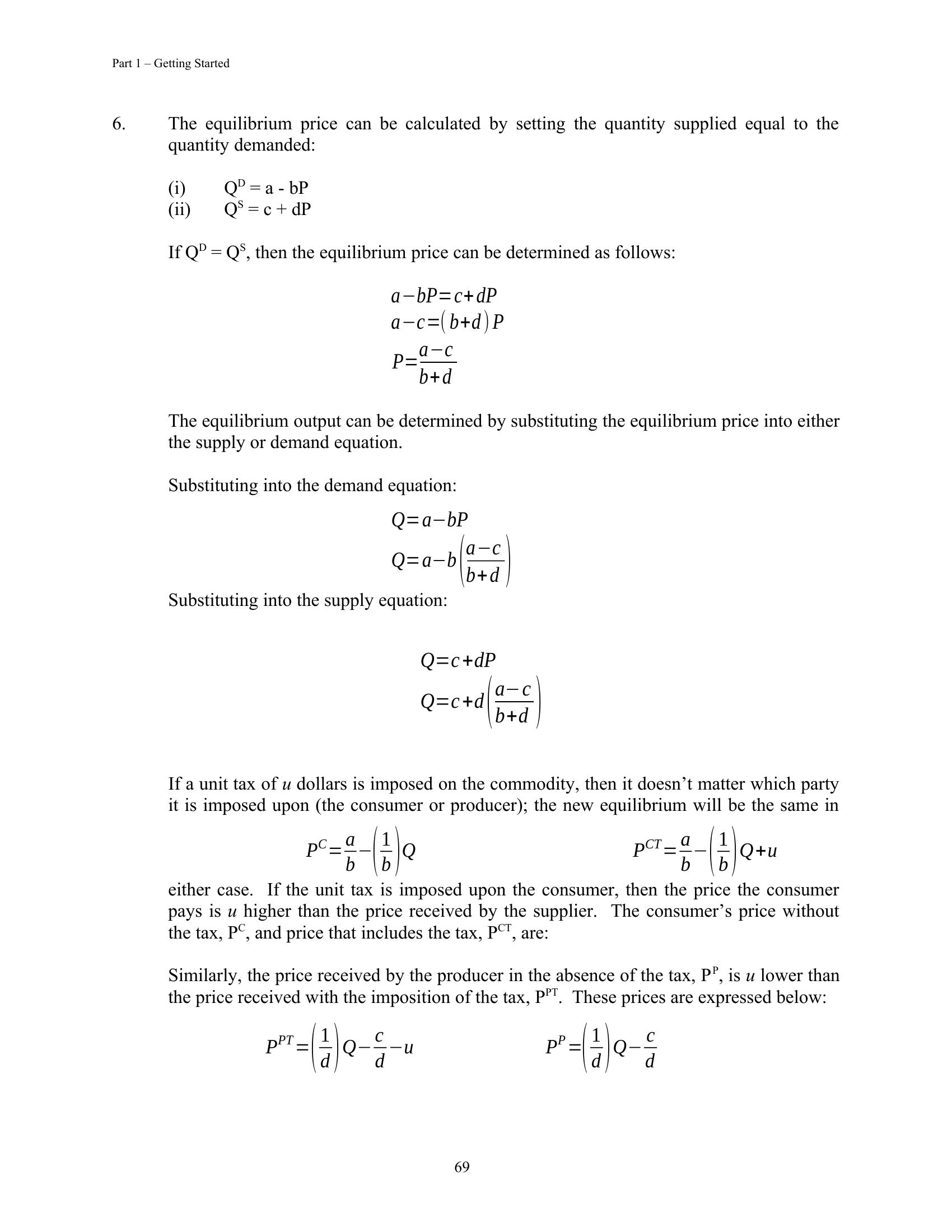
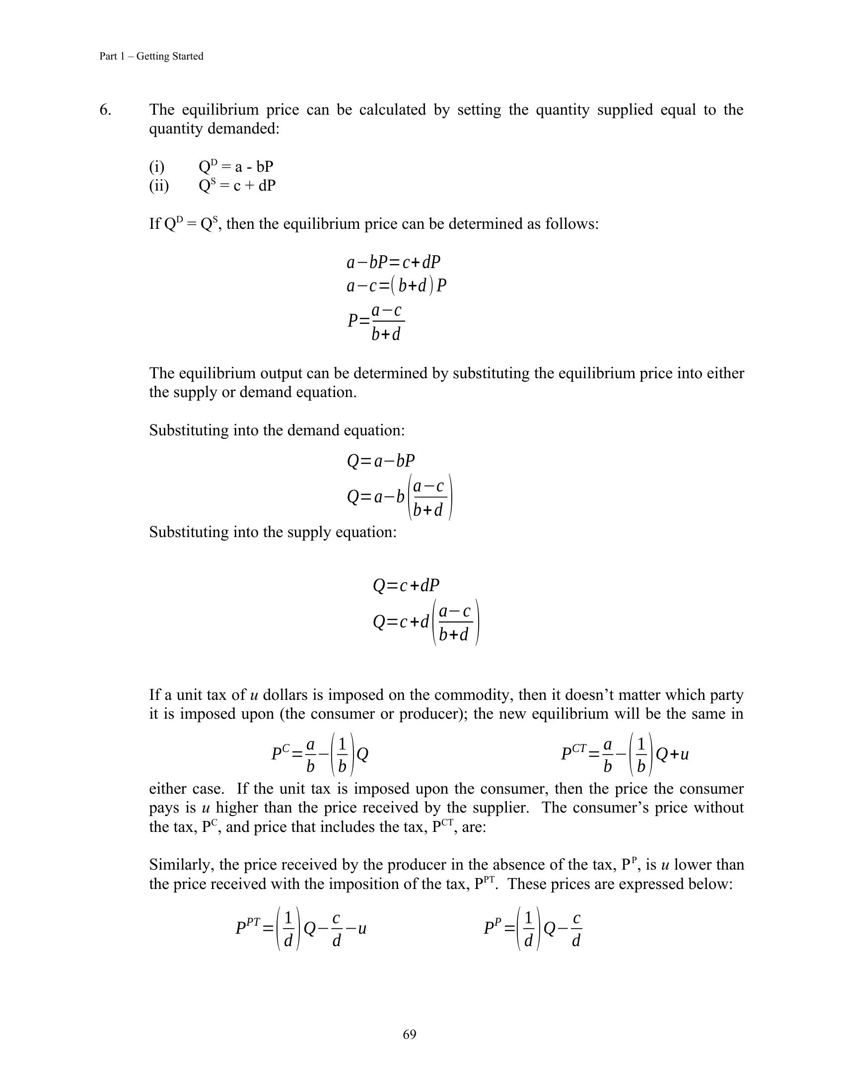
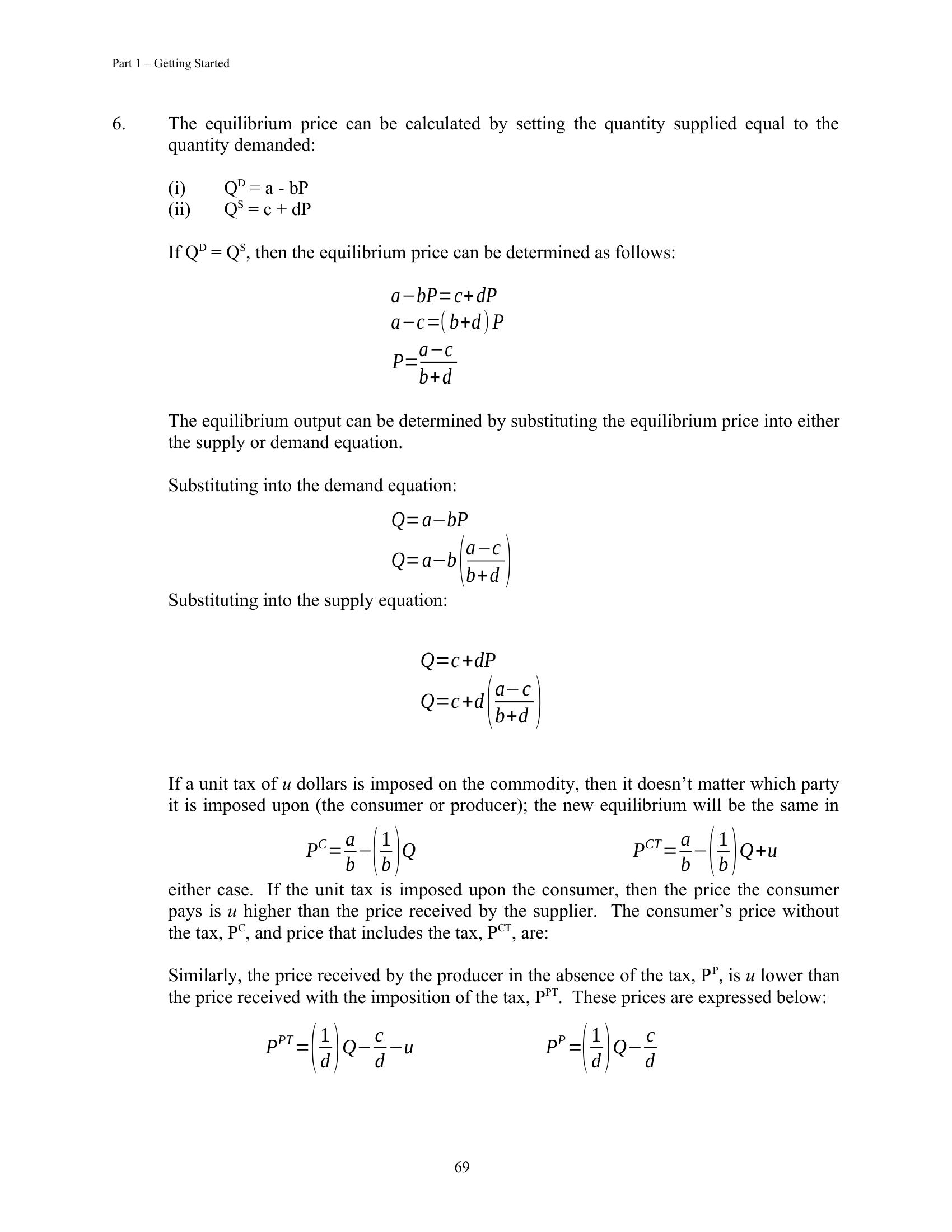
KoreanFoodie's Study
Solution manual to Public finance, 8th edition, Harvey S. Rosen and Ted Gayer (Chapter 14) 본문
Solution Manuals/Public finance, 8th Edition, Harvey
Solution manual to Public finance, 8th edition, Harvey S. Rosen and Ted Gayer (Chapter 14)
GoldGiver 2020. 11. 13. 00:34Solution manual to Public finance, 8th edition, Harvey S. Rosen and Ted Gayer (Chapter 14)







'Solution Manuals > Public finance, 8th Edition, Harvey' 카테고리의 다른 글
Comments