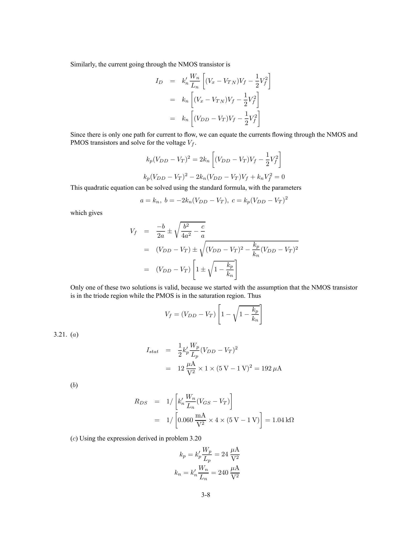
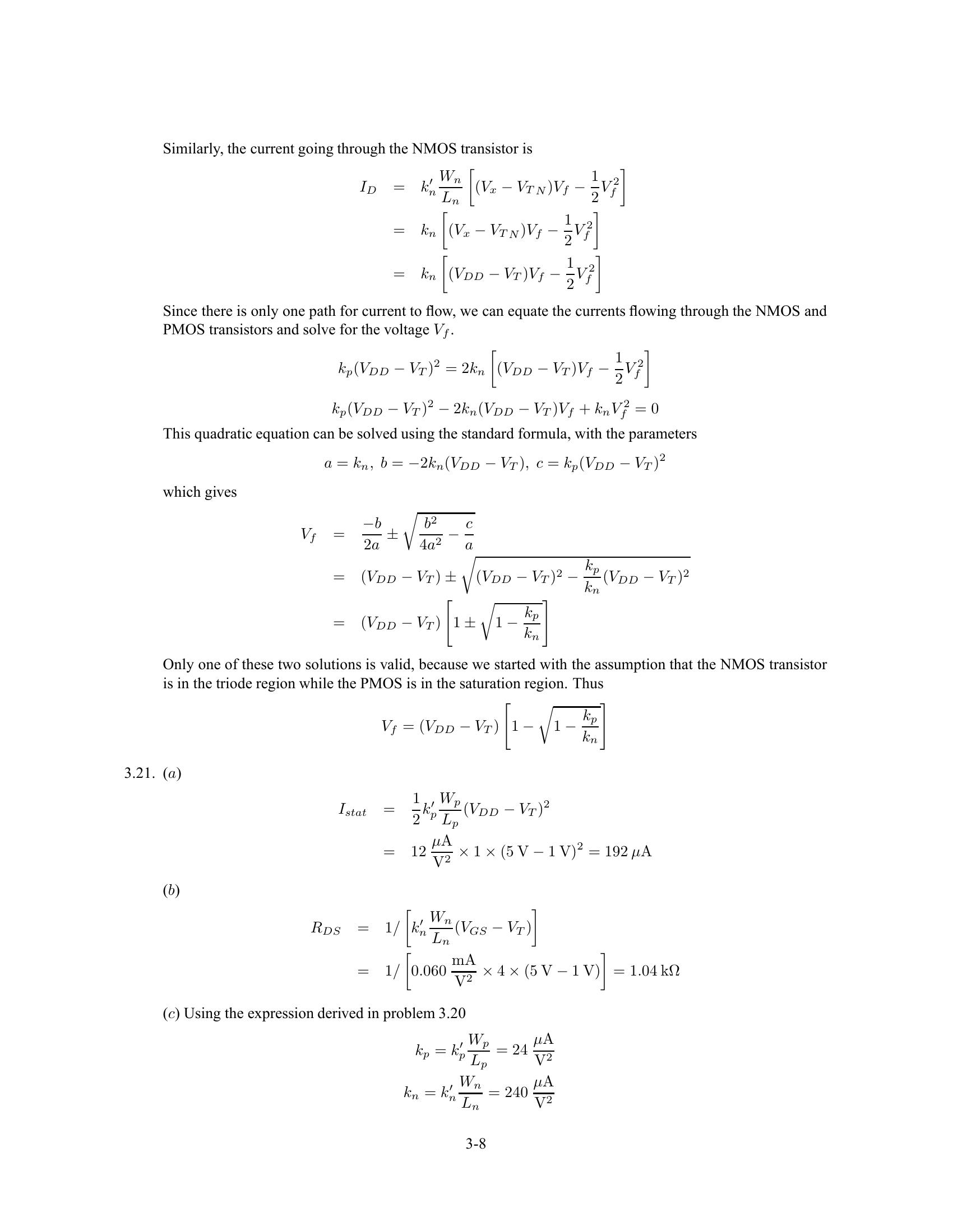
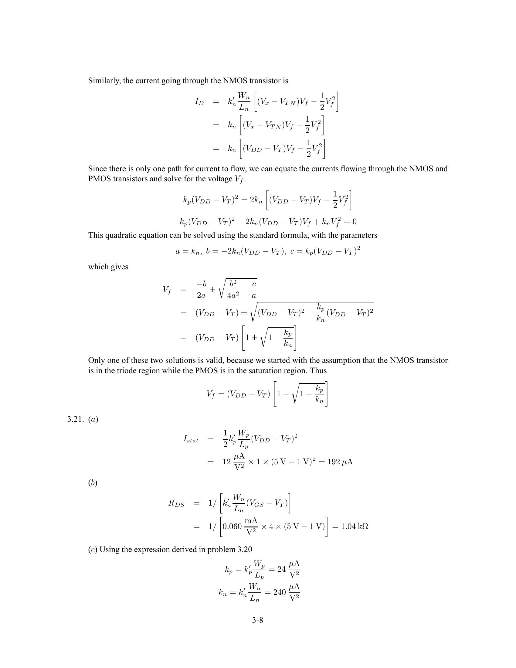
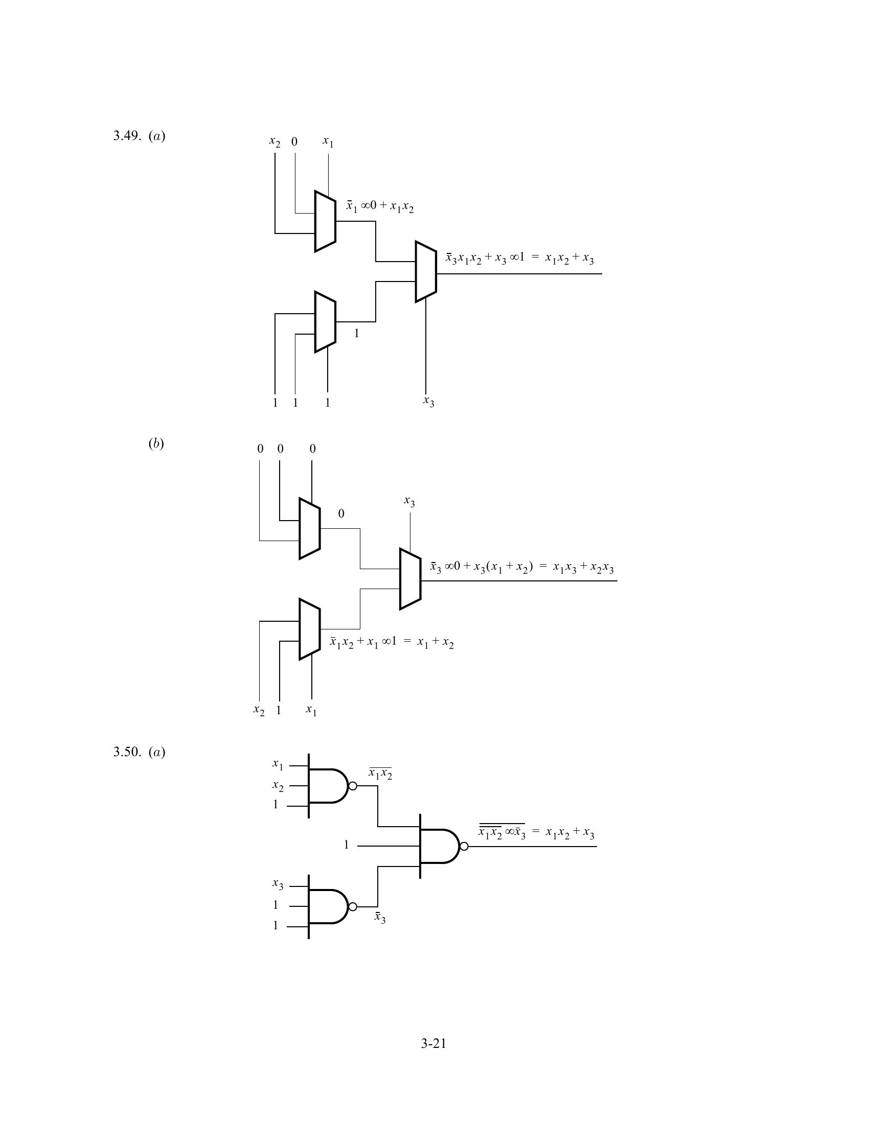
KoreanFoodie's Study
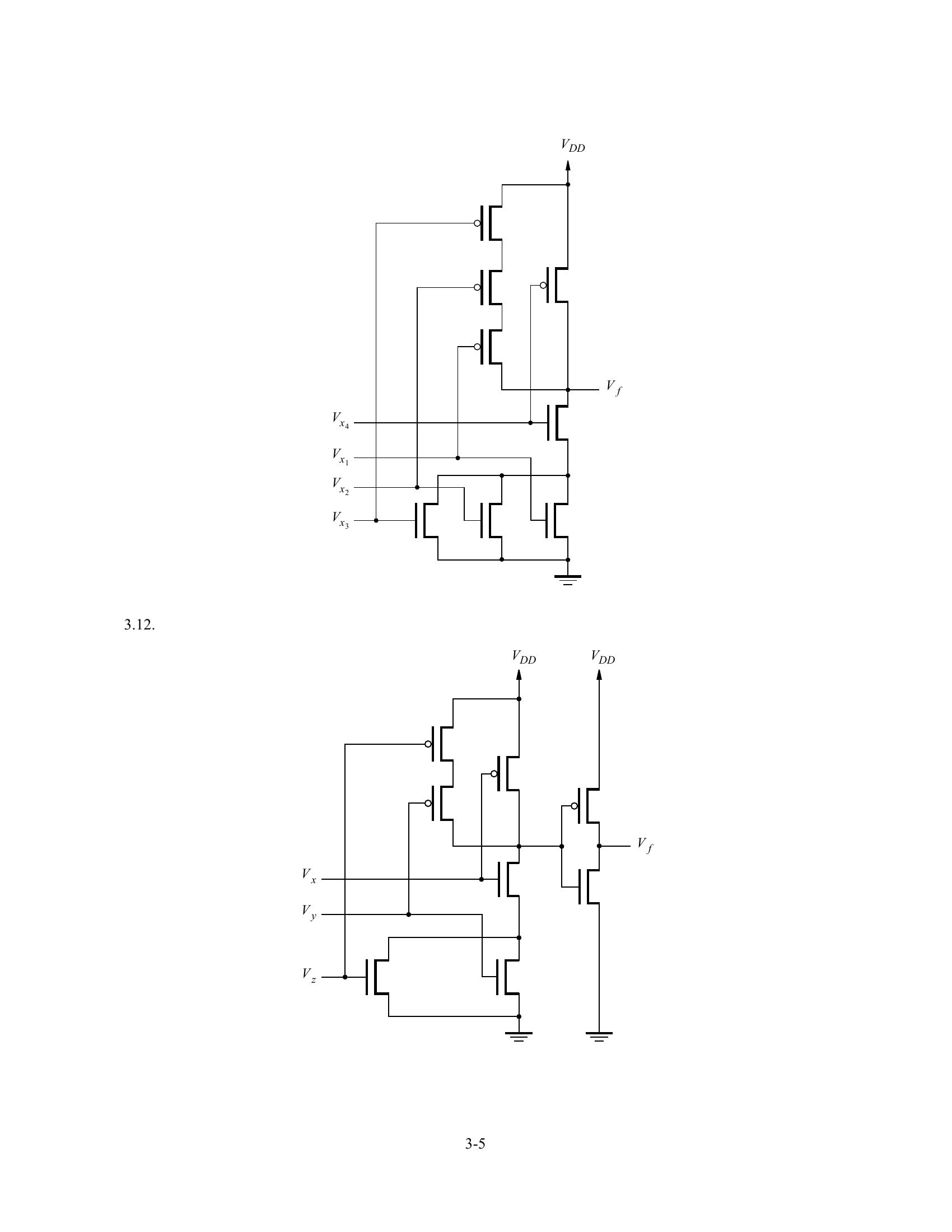
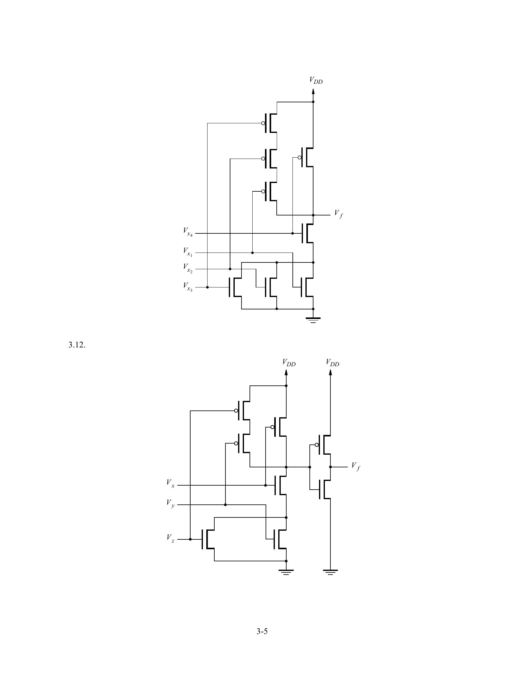
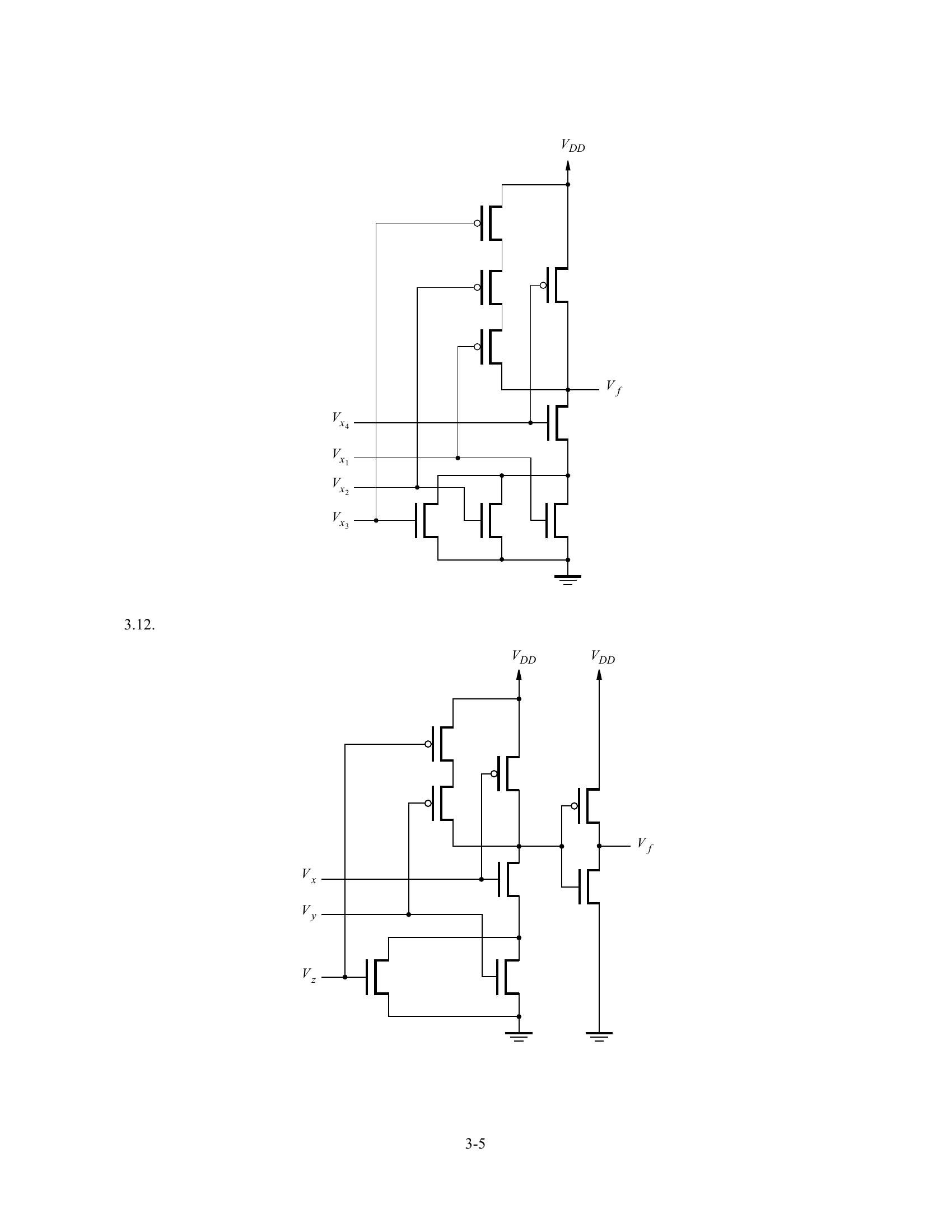
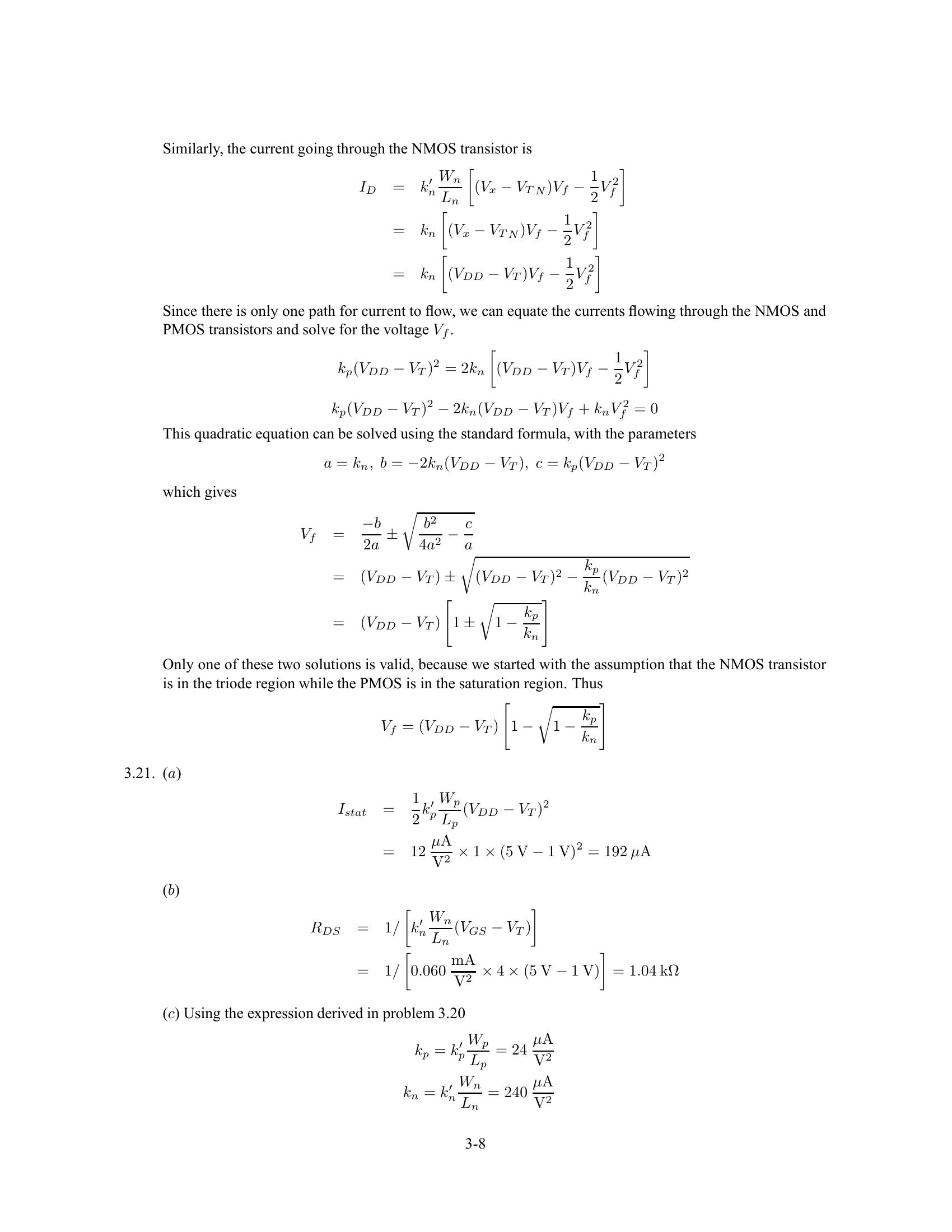
Solution manual to Fundamentals of digital logic with verilog design (Chapter 3) 본문
Solution Manuals/Digital logic with verilog design
Solution manual to Fundamentals of digital logic with verilog design (Chapter 3)
GoldGiver 2020. 11. 13. 00:56Solution manual to Fundamentals of digital logic with verilog design (Chapter 3)






















'Solution Manuals > Digital logic with verilog design' 카테고리의 다른 글
Comments
