KoreanFoodie's Study
게임수학 - 삼각함수를 활용한 물체의 회전 본문

이득우님의 '이득우의 게임수학' 책을 보며 좋은 내용을 정리하고 있습니다. 더 자세한 내용이 궁금하시다면, 책을 구매해 직접 읽어보시기를 추천드립니다!
삼각함수를 활용한 물체의 회전
삼각함수를 통해 물체를 회전하면 좌표값이 어떻게 변할까? 먼저, 다음과 같이 좌표 (1, 1) 을 θ 만큼 반시계 방향으로 회전하면, 다음과 같이 그려지게 된다.

위에서, 벡터 v 는 기저 벡터 e1 와 e2 의 합으로 표현되며, 이를 각 θ 만큼 회전 시킨 녀석을 (cosθ - sinθ, sinθ + cosθ) 로 표현할 수 있음을 알 수 있다.
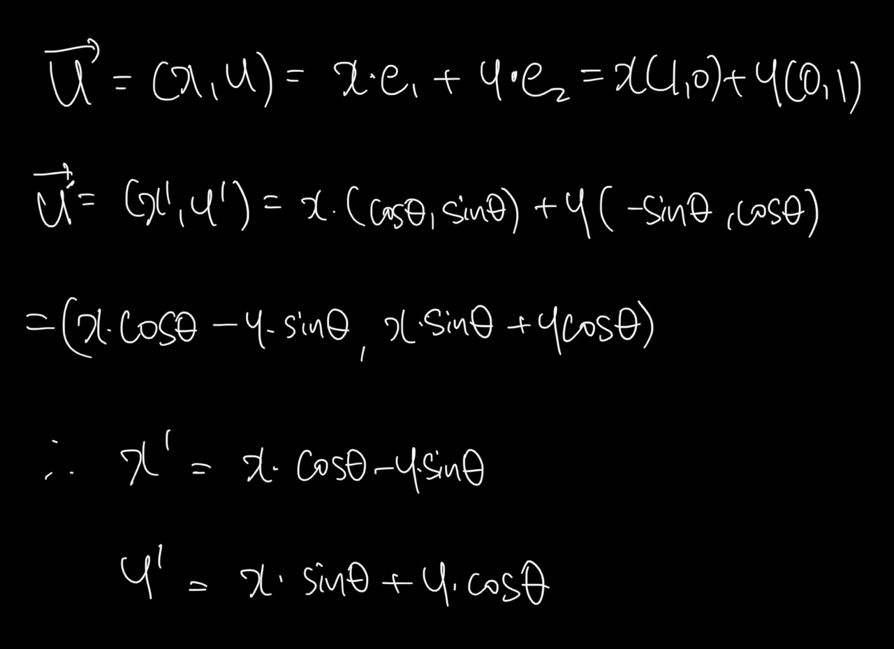
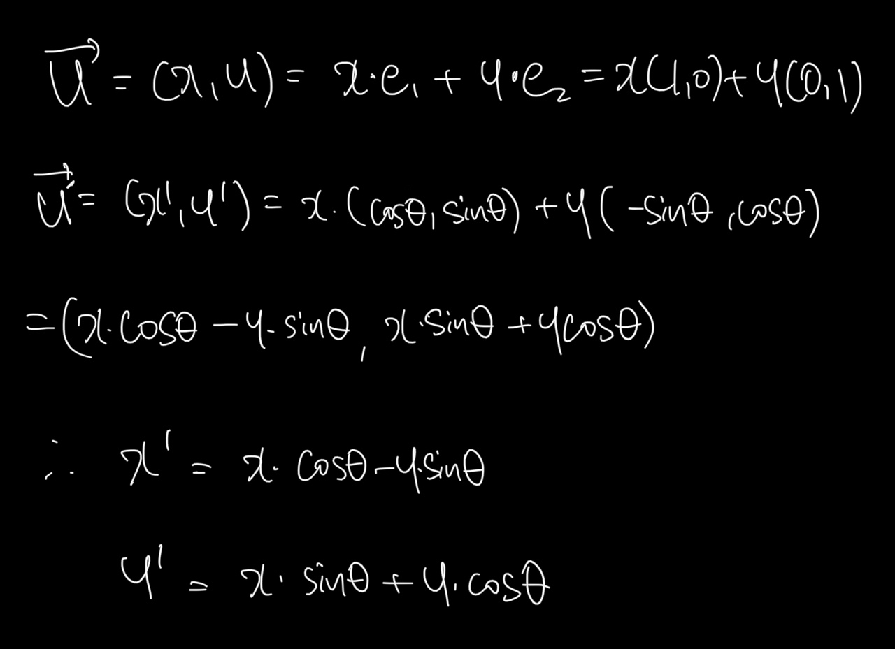
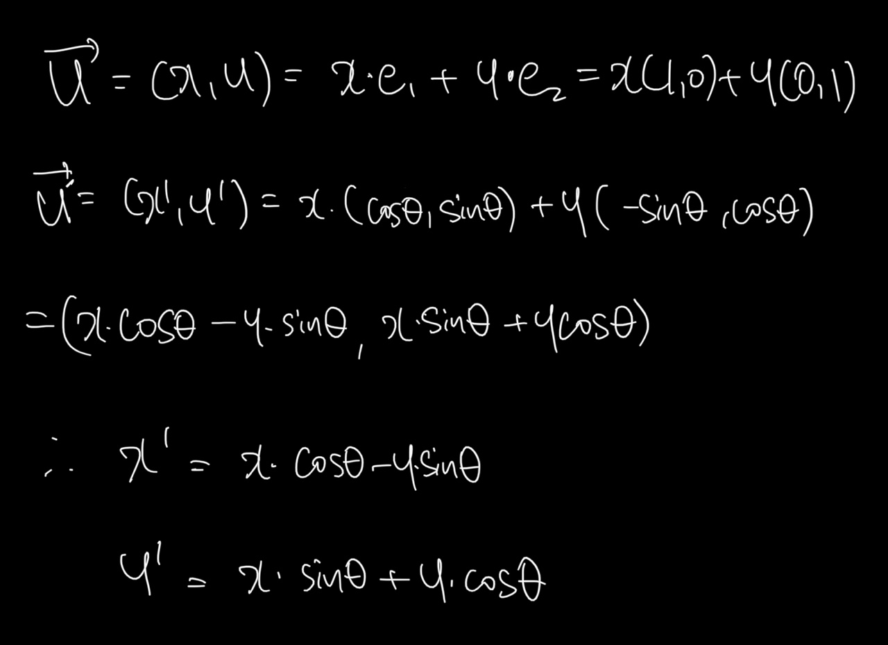
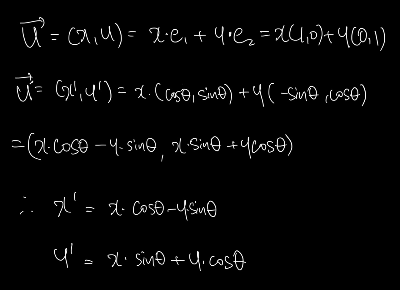
동일한 원리로, 임의의 벡터 (x, y) 를 각 θ 만큼 회전시켜 (x', y') 를 구해보자. 식은 다음과 같이 쓸 수 있다.

기저벡터를 활용하면, 임의의 벡터 u 를 각 θ 만큼 회전시킨 벡터 u' 의 값을 위와 같이 구할 수 있다!
'Game Dev > Game Math' 카테고리의 다른 글
| 게임 수학 - 변환 행렬의 역행렬 (0) | 2022.10.29 |
|---|---|
| 게임수학 - 행렬을 이용한 회전변환 (0) | 2022.10.26 |
| 게임수학 - 극좌표계 (0) | 2022.10.26 |
Comments