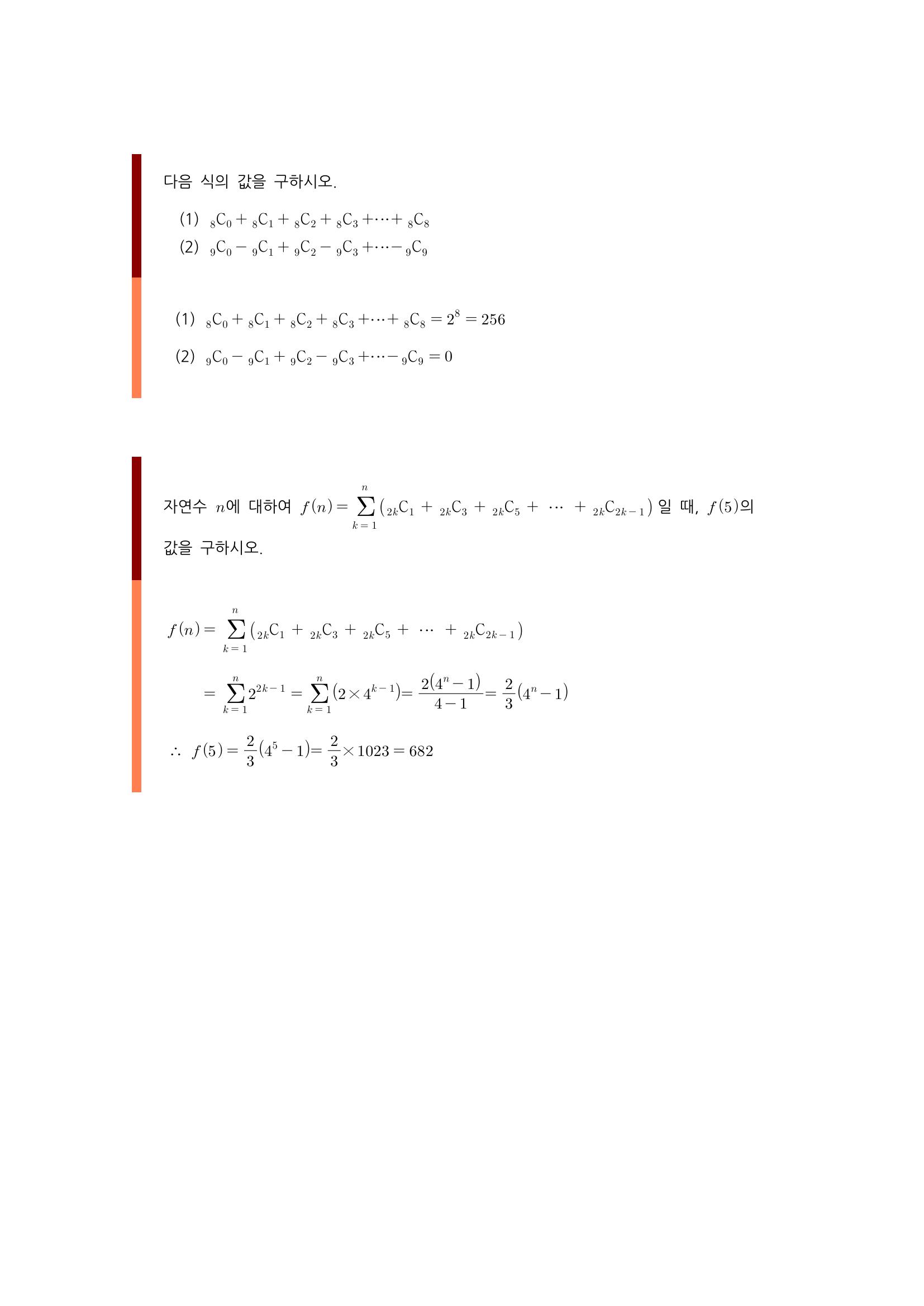
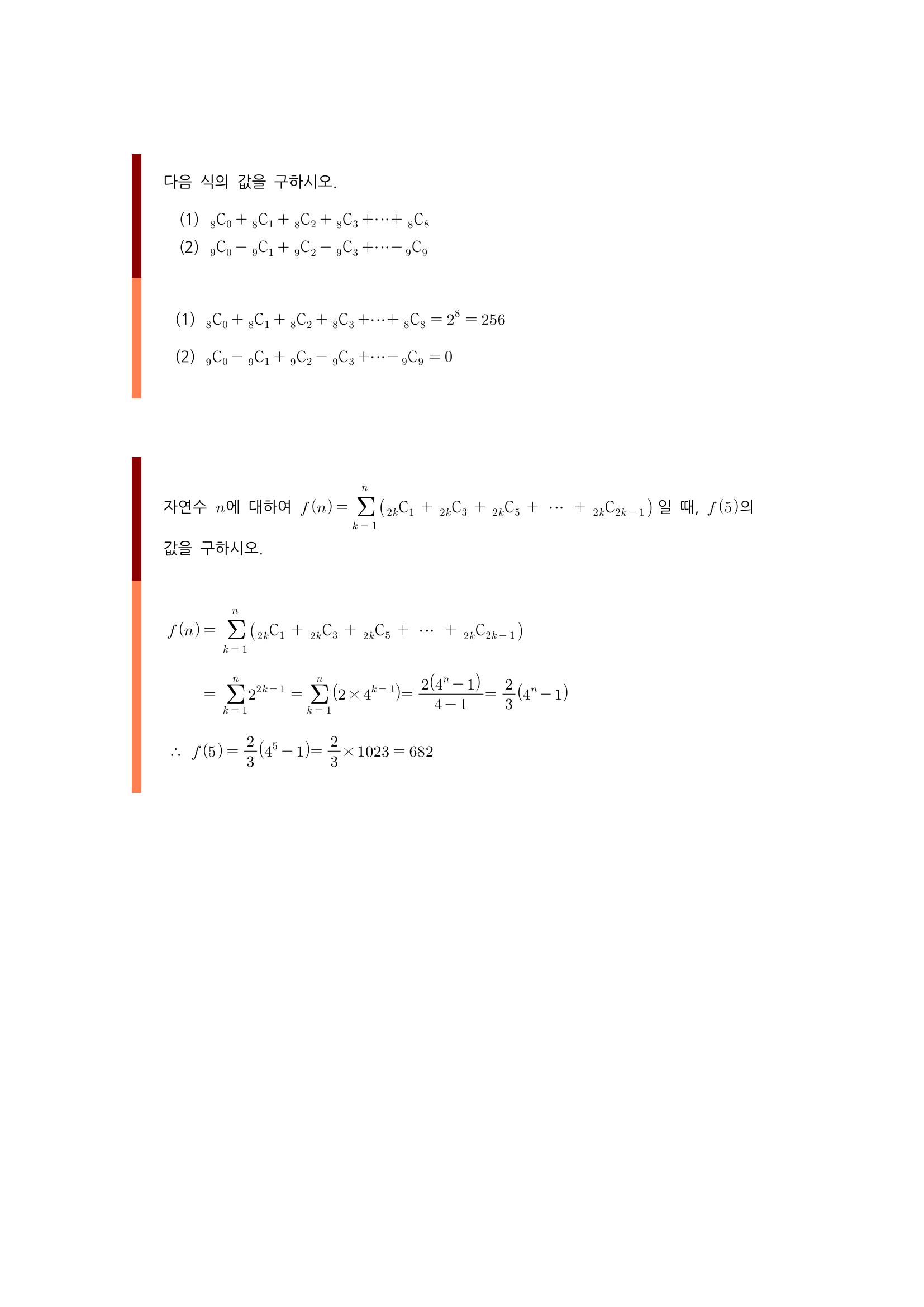
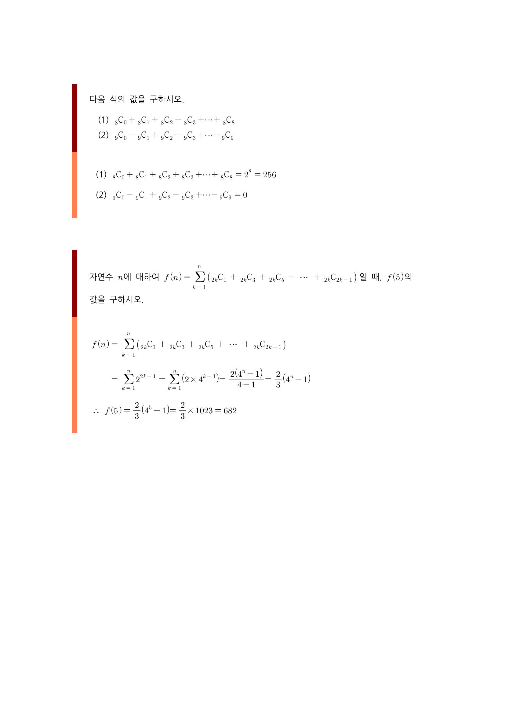
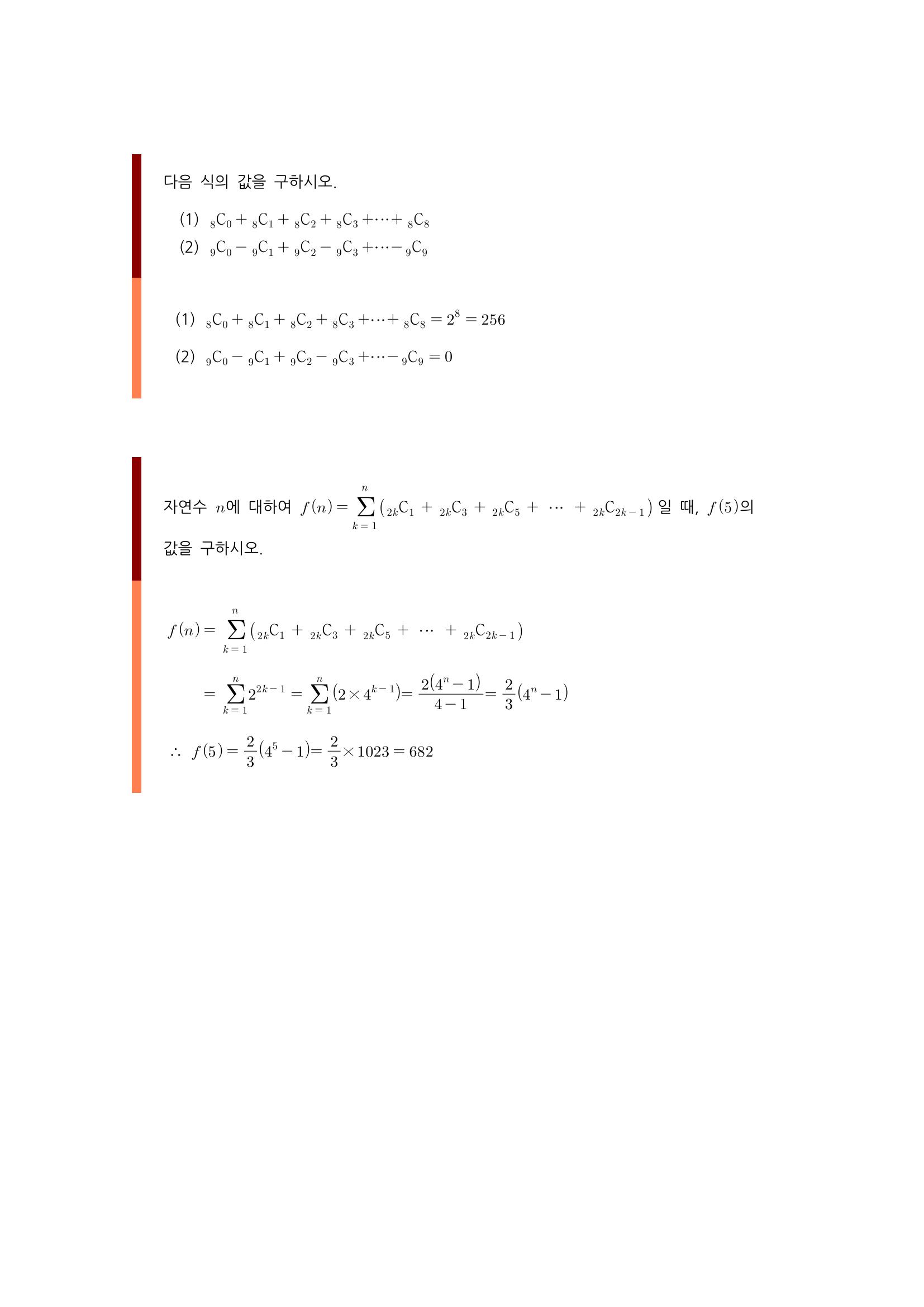
KoreanFoodie's Study
수학 개념 정리/공식 : 이항정리, 이항계수의 성질, 파스칼의 삼각형 본문





'Study Materials > 고등 수학 개념 정리' 카테고리의 다른 글
| 수학 개념 정리/공식 : 확률의 덧셈정리, 여사건의 확률 (0) | 2020.04.25 |
|---|---|
| 수학 개념 정리/공식 : 시행과 사건, 표본공간, 사건, 근원사건, 배반사건, 여사건, 수학적 확률, 통계적 확률, 확률의 기본 성질 (0) | 2020.04.25 |
| 수학 개념 정리/공식 : 중복조합 (0) | 2020.04.25 |
| 수학 개념 정리/공식 : 원순열, 중복순열, 같은 것이 있는 순열 (0) | 2020.04.25 |
| 수학 개념 정리/공식 : 좌표공간에서 선분의 내분점과 외분점, 구의 방정식 (0) | 2020.04.25 |
Comments